首页 > 简谱 / 简谱正文 (天高地厚简谱_信演唱_孙世彦曲谱)
天高地厚简谱_信演唱_孙世彦曲谱

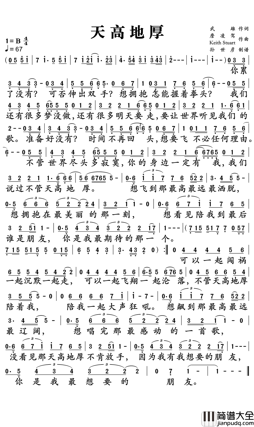
天高地厚简谱歌词
作词: 武雄
作曲:詹凌驾&keith stuart
演唱:信
天高地厚 信
你累了没有?
可否伸出双手?
想拥抱怎能握着拳头?
我们还有很多梦没做,
还有很多明天要走,
要让世界听见我们的歌。
准备好没有?
时间不再回头,
想要飞
不必任何理由。
不管世界尽头多寂寞,
你的身边一定有我,
我们说过不管天高地厚。
想飞到那最高最远最洒脱,
想拥抱在最美丽的那一刻,
想看见陪我到最后谁是朋友,
你是我最期待的那一个。
你累了没有?
可否伸出双手?
想拥抱怎能握着拳头?
我们还有很多梦没做,
还有很多明天要走,
要让世界听见我们的歌。
准备好没有?
时间不再回头,
想要飞
不必任何理由。
不管世界尽头多寂寞,
你的身边一定有我,
我们说过不管天高地厚。
想飞到那最高最远最洒脱,
想拥抱在最美丽的那一刻,
想看见陪我到最后谁是朋友,
你是我最期待的那一个。
可以一起闯祸一起沉默一起走,
可以一起飞翔一起沦落,
不管天高地厚陪着我,
陪我一起大声狂吼。
想飙到那最高最远最辽阔,
想唱完那最感动的一首歌,
没看见那天高地厚不肯放手,
因为我有我想要的朋友,
你是我最想要的朋友。
猜你喜欢的简谱
- 天高地厚吉他谱简单版_信乐团TXT原版谱
- 天高地厚吉他谱_信乐团_辽阔的空间感和对感情的无边思
- _天高地厚_吉他谱_信乐团_C调原版弹唱六线谱_高清图片
- 天高地厚_吉他谱_信乐团
- 天高地厚吉他谱_C调_信乐团
- 天高地厚吉他谱_C调附前奏_六弦琴行编配_信乐团
- _天高地厚_吉他谱_信乐团_C调原版弹唱六线谱
- 信乐团_天高地厚_吉他谱_G调高清原版弹唱谱
- 天高地厚吉他谱_C调附前奏_六弦琴行编配_信乐团
- _天高地厚_吉他谱_C调高清图片谱_信乐团
- 天高地厚吉他谱_信乐团_C调原版编配
- 原版编配:信乐团_天高地厚_弹唱谱_by:lxguitar|吉他谱|
- 戴荃_悟空_钢琴简谱
- 林啟得_大田後生仔_钢琴简谱
- 假如爱有天意简谱(歌词)_王珺演唱_岭南印象曲谱
- 一花依世界简谱_洛天依_人生就是如此短暂
- 你好毒简谱_张学友_最狠心不过你
- 爱降落简谱_中国娃娃_勇敢追努力爱
- 怎样简谱_戴佩妮_如果我们现在还在一起会是怎样
- 离别的车站简谱_赵薇_谁都不要说再见
- 搜索更多简谱
-
- 回忆的阁楼简谱(歌词)_郭静演唱_桃李醉春风记谱
- 我们都被忘了歌曲____谢安琪____时间就是一段路的小偷
- 西海情歌简谱_刀郎_这是一个流传在西海的爱情故事
- 莫问简谱(歌词)_清漪演唱_桃李醉春风记谱
- 星月神话简谱__金莎___一生最美好的场景
- 一程山盟一程海誓简谱(歌词)_陈瑞王不火演唱_桃李醉春风记谱
- 相恋不如失恋简谱(歌词)_陈瑞王不火演唱_桃李醉春风记谱
- 暗香简谱_沙宝亮_所有的遇见,都是一场命中注定
- 病名は愛だった_(病名为爱)简谱_鏡音リン・レン_(镜音双子)__随呼吸一起逐渐微弱的爱慕之意_最终迎来了消亡的结局
- 月亮之伤简谱(歌词)_妞妞演唱_桃李醉春风记谱
- 梦乡简谱(歌词)_孟小童演唱_桃李醉春风记谱
- 愿简谱(歌词)_魏新雨演唱_桃李醉春风记谱
- 霸王泪简谱(歌词)_章小军演唱_桃李醉春风记谱
- 小棋童简谱_双笙_一首很妙的古风歌曲
- next_to_you简谱_动画寄生兽的插曲、背景音乐
- 仙剑问情简谱(歌词)_萧人凤演唱__仙剑奇侠传_插曲
- 路边的野花不要采简谱(歌词)_邓丽君演唱_岭南印象曲谱
- 我爱你中国简谱(歌词)_叶佩英演唱_岭南印象曲谱
- 再回首简谱(歌词)_李玲玉演唱_岭南印象曲谱
- 我的中国心简谱(歌词)_奚秀兰演唱_岭南印象曲谱
- 婚誓简谱(歌词)_耿莲凤/张振富演唱_岭南印象曲谱
- 付轻欢简谱(歌词)_玉笛仙踪演唱_桃李醉春风记谱
- 俗情歌简谱(歌词)_冷漠杨小曼演唱_桃李醉春风记谱
- 梦太晚简谱(歌词)_董贞演唱_动漫剧_秦时明月之空山鸟语_片尾曲
- 穷孩子富孩子简谱(歌词)_米粒谢桐演唱_桃李醉春风记谱
- 唱红尘简谱(歌词)_东方健婉君演唱_桃李醉春风记谱
- 传世乐章简谱(歌词)_汪苏泷演唱_桃李醉春风记谱
- 锦年简谱(歌词)_宇晗家家演唱_桃李醉春风记谱
- 承欢殿简谱(歌词)_少司命演唱_桃李醉春风记谱
- 隐身守候简谱(歌词)_孙子涵演唱_桃李醉春风记谱
- 热门话题
- 简谱215046
- C调25402
- 弹唱19742
- G调17715
- 钢琴谱14842
- 记谱13809
- 编配13037
- 吉他谱7808
- 周杰伦4179
- 六线谱2810
- D调2396
- 指法2080
- 的人1850
- 独奏1848
- A调1764
- 原版1681
- the1615
- 林俊杰1600
- 我是1515
- 陈奕迅1510
- E调1420
- 弹唱谱1358
- F调1303
- 薛之谦1212
- 吉他1186
- 赵雷1134
- 五月天1117
- You1035
- 曲水941
- 乌兰926
- 演唱925
- 毛不易923
- 许嵩916
- 李荣浩911
- 影视906
- 邓丽君824
- 未知755
- 线谱754
- 许巍752
- 我在732
- Beyond729
- 金曲711
- 主题曲708
- 邓紫棋693
- 张学友631
- Me629
- Love625
- OF607
- 选曲603
- 李健580
- 汪峰553
- 梁静茹539
- 东方Project537
- 指弹536
- 王菲533
- 王力宏530
- 都是520
- 久石让518
- 花粥504
- I503
- 孙燕姿503
- 隔壁老樊494
- 陈粒480
- My479
- 我想475
- 房东的猫460
- 周深456
- 让我450
- 张杰449
- 初音未来445
- 莫文蔚419
- 一声418
- 汪苏泷417
- B调416
- 标准版412
- 林宥嘉407
- 宋冬野397
- 朴树395
- A391
- 我要390
- 简单版380
- 蔡健雅380
- to378
- 齐秦374
- in372
- 游戏368
- 插曲365
- 陈瑞362
- 南风361
- 故乡360
- 华晨宇359
- 总谱358
- 刘德华356
- 石进355
- 银燕353
- 粤语350
- 伍佰347
- 琴谱345
- 阎维文341
- 陕北338
- 巴赫338
- 儿歌337
- 杨宗纬334
- 张碧晨331
- 刘若英327
- 组合326
- 冷漠326
- 田馥甄324
- 张震岳323
- 罗大佑315
- 流行追梦人313
- 理查德312
- 望月311
- 月亮311
- 调和310
- 这一309
- 中国306
- 词曲305
- 陶喆305
