首页 > 简谱 / 简谱正文 (如果你爱上了别人请别告诉我简谱_徐誉滕演唱_孙世彦曲谱)
如果你爱上了别人请别告诉我简谱_徐誉滕演唱_孙世彦曲谱

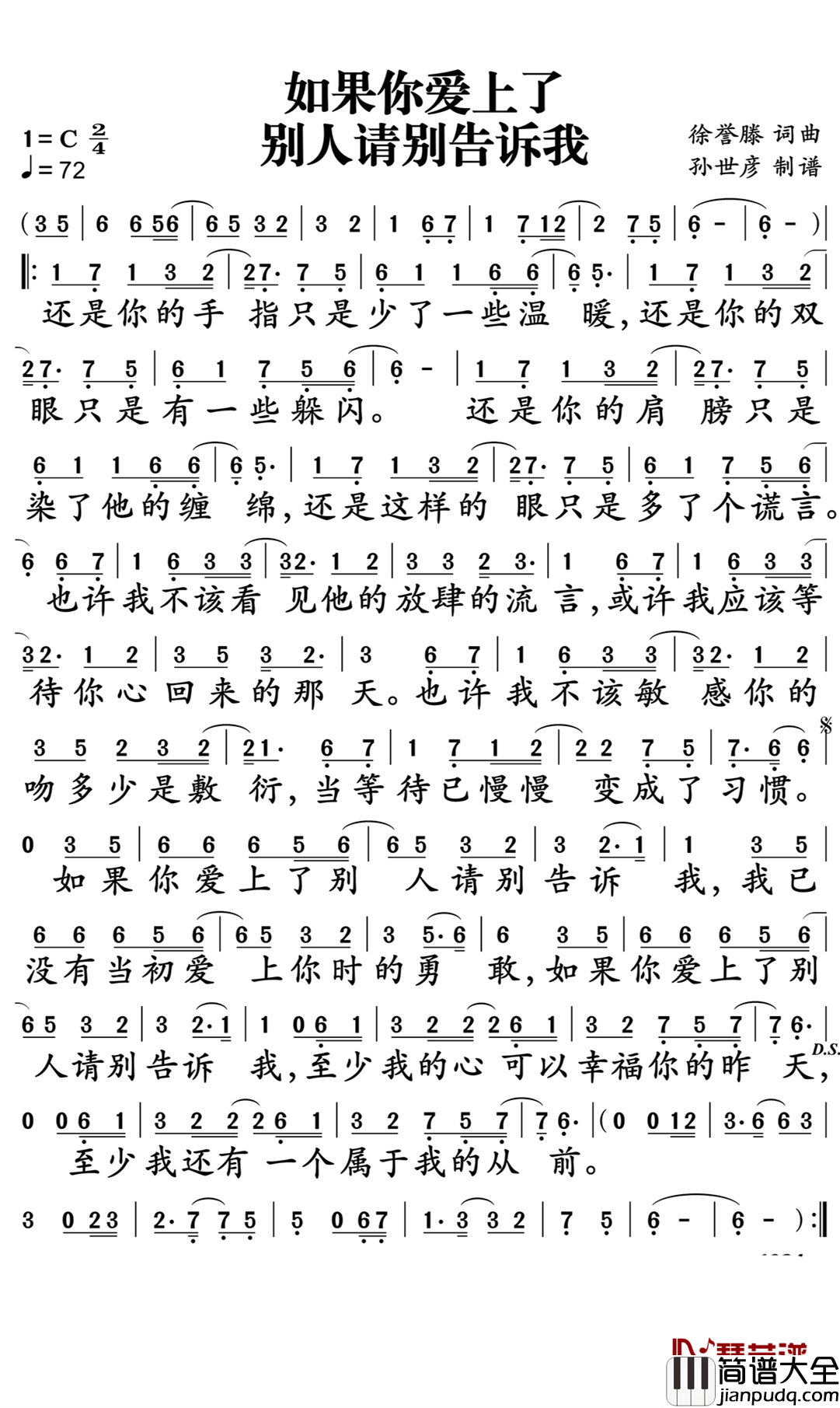
如果你爱上了别人请别告诉我简谱歌词
演唱:徐小燕
还是你的手指
只是少了一些温暖,
还是你的双眼
只是有一些躲闪。
还是你的肩膀
只是染了他的缠绵,
还是这样的眼
只是多了个谎言。
也许我不该看见
他的放肆的流言,
或许我应该等待
你心回来的那天。
也许我不该敏感
你的吻多少是敷衍,
当等待已慢慢变成了习惯。
如果你爱上了别人请别告诉我,
我已没有当初爱上你时的勇敢,
如果你爱上了别人请别告诉我,
至少我的心可以幸福你的昨天,
至少我还有一个属于我的从前。
还是你的手指
只是少了一些温暖
还是你的双眼
只是有一些躲闪
还是你的肩膀
只是染了他的缠绵
还是这样的眼
只是多了个谎言
也许我不该看见
他的放肆的流言
或许我应该等待
你心回来的那天
也许我不该敏感
你的吻多少是敷衍
当等待已慢慢变成了习惯
如果你爱上了别人请别告诉我
我已没有当初爱上你时的勇敢
如果你爱上了别人请别告诉我
至少我的心可以幸福你的昨天
如果你爱上了别人请别告诉我
我已没有当初爱上你时的勇敢
如果你爱上了别人请别告诉我
至少我的心可以幸福你的昨天
至少我还有一个属于我的从前
- 上一篇:水墨彭城简谱_徐誉滕演唱_孙世彦曲谱
- 下一篇:天高地厚简谱_信演唱_孙世彦曲谱
猜你喜欢的简谱
- 天使的翅膀简谱_徐誉滕_让心中的天使缓缓展开翅膀吧
- 相思网简谱(歌词)_崔子格徐誉滕演唱_桃李醉春风记谱
- 二话西游简谱(歌词)_徐誉滕演唱_桃李醉春风记谱
- 铁皮青蛙简谱(歌词)_徐誉滕演唱_桃李醉春风记谱
- 丑歌简谱(歌词)_徐誉滕演唱_桃李醉春风记谱
- 爱上你的秋简谱(歌词)_徐誉滕演唱_桃李醉春风记谱
- 没有用简谱(歌词)_徐誉滕演唱_桃李醉春风记谱
- 千里迢迢简谱(歌词)_徐誉滕演唱_桃李醉春风记谱
- 三千个月亮简谱(歌词)_徐誉滕演唱_桃李醉春风记谱
- 白衬衫牛仔裤简谱(歌词)_徐誉滕演唱_桃李醉春风记谱
- 等一分钟简谱_徐誉滕_失去了真爱,是没有再等一分钟
- 等一分钟简谱(歌词)_徐誉滕演唱_君羊曲谱
- 天使的翅膀简谱(歌词)_徐誉滕演唱_君羊曲谱
- 星星和我睡不着简谱_徐誉滕演唱_孙世彦曲谱
- 做我老婆好不好简谱_徐誉滕_我将踏着七彩祥云来迎接你
- 踏歌行简谱(歌词)_徐誉滕演唱_桃李醉春风记谱
- 做我老婆好不好钢琴谱_金老师原声弹唱版171222_徐誉滕
- 做我老婆好不好钢琴谱_徐誉滕
- 等一分钟钢琴谱__徐誉滕
- 相亲相爱一辈子简谱_徐誉滕/罗宾演唱_孙世彦曲谱
- 搜索更多简谱
-
- 回忆的阁楼简谱(歌词)_郭静演唱_桃李醉春风记谱
- 我们都被忘了歌曲____谢安琪____时间就是一段路的小偷
- 西海情歌简谱_刀郎_这是一个流传在西海的爱情故事
- 莫问简谱(歌词)_清漪演唱_桃李醉春风记谱
- 星月神话简谱__金莎___一生最美好的场景
- 一程山盟一程海誓简谱(歌词)_陈瑞王不火演唱_桃李醉春风记谱
- 相恋不如失恋简谱(歌词)_陈瑞王不火演唱_桃李醉春风记谱
- 暗香简谱_沙宝亮_所有的遇见,都是一场命中注定
- 病名は愛だった_(病名为爱)简谱_鏡音リン・レン_(镜音双子)__随呼吸一起逐渐微弱的爱慕之意_最终迎来了消亡的结局
- 月亮之伤简谱(歌词)_妞妞演唱_桃李醉春风记谱
- 梦乡简谱(歌词)_孟小童演唱_桃李醉春风记谱
- 愿简谱(歌词)_魏新雨演唱_桃李醉春风记谱
- 霸王泪简谱(歌词)_章小军演唱_桃李醉春风记谱
- 小棋童简谱_双笙_一首很妙的古风歌曲
- next_to_you简谱_动画寄生兽的插曲、背景音乐
- 仙剑问情简谱(歌词)_萧人凤演唱__仙剑奇侠传_插曲
- 路边的野花不要采简谱(歌词)_邓丽君演唱_岭南印象曲谱
- 我爱你中国简谱(歌词)_叶佩英演唱_岭南印象曲谱
- 再回首简谱(歌词)_李玲玉演唱_岭南印象曲谱
- 我的中国心简谱(歌词)_奚秀兰演唱_岭南印象曲谱
- 婚誓简谱(歌词)_耿莲凤/张振富演唱_岭南印象曲谱
- 付轻欢简谱(歌词)_玉笛仙踪演唱_桃李醉春风记谱
- 俗情歌简谱(歌词)_冷漠杨小曼演唱_桃李醉春风记谱
- 梦太晚简谱(歌词)_董贞演唱_动漫剧_秦时明月之空山鸟语_片尾曲
- 穷孩子富孩子简谱(歌词)_米粒谢桐演唱_桃李醉春风记谱
- 唱红尘简谱(歌词)_东方健婉君演唱_桃李醉春风记谱
- 传世乐章简谱(歌词)_汪苏泷演唱_桃李醉春风记谱
- 锦年简谱(歌词)_宇晗家家演唱_桃李醉春风记谱
- 承欢殿简谱(歌词)_少司命演唱_桃李醉春风记谱
- 隐身守候简谱(歌词)_孙子涵演唱_桃李醉春风记谱
- 热门话题
- 简谱215046
- C调25402
- 弹唱19742
- G调17715
- 钢琴谱14842
- 记谱13809
- 编配13037
- 吉他谱7808
- 周杰伦4179
- 六线谱2810
- D调2396
- 指法2080
- 的人1850
- 独奏1848
- A调1764
- 原版1681
- the1615
- 林俊杰1600
- 我是1515
- 陈奕迅1510
- E调1420
- 弹唱谱1358
- F调1303
- 薛之谦1212
- 吉他1186
- 赵雷1134
- 五月天1117
- You1035
- 曲水941
- 乌兰926
- 演唱925
- 毛不易923
- 许嵩916
- 李荣浩911
- 影视906
- 邓丽君824
- 未知755
- 线谱754
- 许巍752
- 我在732
- Beyond729
- 金曲711
- 主题曲708
- 邓紫棋693
- 张学友631
- Me629
- Love625
- OF607
- 选曲603
- 李健580
- 汪峰553
- 梁静茹539
- 东方Project537
- 指弹536
- 王菲533
- 王力宏530
- 都是520
- 久石让518
- 花粥504
- I503
- 孙燕姿503
- 隔壁老樊494
- 陈粒480
- My479
- 我想475
- 房东的猫460
- 周深456
- 让我450
- 张杰449
- 初音未来445
- 莫文蔚419
- 一声418
- 汪苏泷417
- B调416
- 标准版412
- 林宥嘉407
- 宋冬野397
- 朴树395
- A391
- 我要390
- 简单版380
- 蔡健雅380
- to378
- 齐秦374
- in372
- 游戏368
- 插曲365
- 陈瑞362
- 南风361
- 故乡360
- 华晨宇359
- 总谱358
- 刘德华356
- 石进355
- 银燕353
- 粤语350
- 伍佰347
- 琴谱345
- 阎维文341
- 陕北338
- 巴赫338
- 儿歌337
- 杨宗纬334
- 张碧晨331
- 刘若英327
- 组合326
- 冷漠326
- 田馥甄324
- 张震岳323
- 罗大佑315
- 流行追梦人313
- 理查德312
- 望月311
- 月亮311
- 调和310
- 这一309
- 中国306
- 词曲305
- 陶喆305
