首页 > 简谱 / 简谱正文 (舞月光简谱_王凯_月光下的独舞)
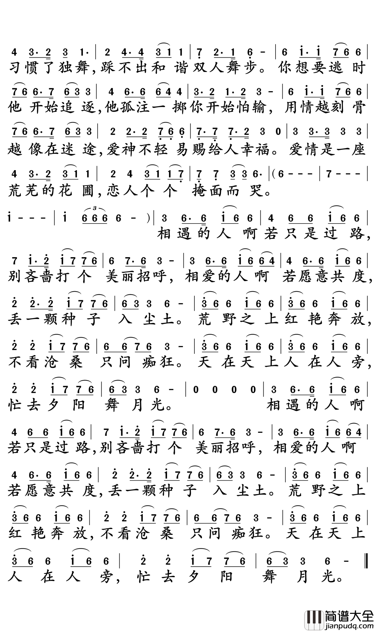
舞月光简谱_王凯_月光下的独舞


作曲:伍思凱
作词:厲曼婷
爱情是一条
漫漫寂寞路
恋人个个感到无辜
孤独的灵魂习惯了独舞
踩不出和谐双人舞步
你想要逃时他开始追逐
他孤注一掷你开始怕输
用情越刻骨越像在迷途
爱神不轻易赐给人幸福
爱情是一座荒芜的花圃
恋人个个掩面而哭
相遇的人啊
若只是过路
别吝啬打个美丽招呼
相爱的人啊
若愿意共度
丢一颗种子入尘土
荒野之上
红艳奔放
不看沧桑只问痴狂
天在天上
人在人旁
忙去夕阳舞月光
孤独的灵魂习惯了独舞
踩不出和谐双人舞步
你想要逃时他开始追逐
他孤注一掷你开始怕输
用情越刻骨越像在迷途
爱神不轻易赐给人幸福
爱情是一座荒芜的花圃
恋人个个掩面而哭
相遇的人啊
若只是过路
别吝啬打个美丽招呼
相爱的人啊
若愿意共度
丢一颗种子入尘土
荒野之上
红艳奔放
不看沧桑只问痴狂
天在天上
人在人旁
忙去夕阳舞月光
相遇的人啊
若只是过路
别吝啬打个美丽招呼
相爱的人啊
若愿意共度
丢一颗种子入尘土
荒野之上
红艳奔放
不看沧桑只问痴狂
天在天上
人在人旁
忙去夕阳舞月光
海鸥阵阵,潮来潮往,船鸣声声,一幅大海的画面映入眼帘,仿佛近在咫尺,又遥不可及。“爱情是一条漫漫寂寞路,恋人个个感到无辜。”沉稳的歌声随之传来,王凯的《舞月光》总是给人以惊喜与感动,在月光中舞蹈,和着海鸥、浪花与水手,多么美好的场景。

架子鼓与吉他的混合营造出王凯无与伦比的美妙声线,与歌声融为一体,中间空白部分的欢快曲调使歌曲更趋于内涵美。“相遇的人啊,若只是过路,别吝啬打个美丽招呼。”人一生平均要遇到十万人左右,能够擦肩而过的不过十分之一,如果同路人打个招呼,不吝啬自己的微笑与挥手,那么收获的就是等同路人的微笑,这不仅仅是收获善良,也是肯定自己。

“爱情是一座荒芜的花圃,恋人个个掩面而哭。”人作为个体,喜怒哀乐无法避免,两个人在一起就是两个人的喜怒哀乐,如果总是顾及对方的感受,爱情的花园迟早会凋零,因为付出得不到同等的回报,爱情的天平就会倾斜,直至崩溃。相互扶持,又相互排斥,在爱恋与彼此伤害中离了又来,来了又走。无可奈何,只能掩面哭泣,哭泣这令人难受的爱情。

“孤独的灵魂习惯了独舞,踩不出和谐双人的舞步。”一个人单身久了,便会习惯和自己生活,吃饭一个人,跑步一个人,做什么都是一个人。突然有一天,另外一个人加入,便会打破自己原有的状态,会局促不安,会相互磨合又在磨合中产生不和谐。不如,留一颗种子,慢慢培养,直至培养出爱情的火花,胖希望点燃和谐的爱情。
猜你喜欢的简谱
- 我的春晚我的年简谱(歌词)_王凯、杨洋演唱_桃李醉春风
- 在此刻简谱(歌词)_胡歌/王凯演唱_谱友郑工1944上传
- 春天_中国简谱(歌词)_王凯叶翠演唱_momoliu曲谱
- 大江大河_简谱(歌词)_王凯演唱_谱友天恩上传
- 赤血长殷钢琴谱_王凯_琅琊榜插曲
- 赤血长殷钢琴谱_王凯_简单版__琅琊榜_插曲
- 赤血长殷钢琴谱_王凯
- 赤血长殷钢琴谱_独奏_王凯
- 探世界简谱(歌词)_王凯演唱_兰语神韵记谱
- 两地曲简谱(歌词)_王凯演唱_Z.E.Z.曲谱
- 国旗之下简谱_王凯/陈燕妮/吴镇宇/曾咏欣歌曲_桃里醉
- 赤血长殷钢琴简谱_王凯演唱
- 探世界(电视剧_新神探联盟_主题曲)简谱_王凯演唱_兰语
- 人生第一次(_央视“情系西部共享母爱”义演歌曲_)简谱
- 嘿_少年简谱_王凯演唱_桃李醉春风制作曲谱
- 心之所向简谱_乌兰图雅/王翠/王凯演唱_郑工制谱
- 国旗之下简谱_王凯/陈燕妮/吴镇宇演唱_桃李醉春风制谱
- 戴荃_悟空_钢琴简谱
- 林啟得_大田後生仔_钢琴简谱
- 假如爱有天意简谱(歌词)_王珺演唱_岭南印象曲谱
- 搜索更多简谱
-
- 回忆的阁楼简谱(歌词)_郭静演唱_桃李醉春风记谱
- 我们都被忘了歌曲____谢安琪____时间就是一段路的小偷
- 西海情歌简谱_刀郎_这是一个流传在西海的爱情故事
- 莫问简谱(歌词)_清漪演唱_桃李醉春风记谱
- 星月神话简谱__金莎___一生最美好的场景
- 一程山盟一程海誓简谱(歌词)_陈瑞王不火演唱_桃李醉春风记谱
- 相恋不如失恋简谱(歌词)_陈瑞王不火演唱_桃李醉春风记谱
- 暗香简谱_沙宝亮_所有的遇见,都是一场命中注定
- 病名は愛だった_(病名为爱)简谱_鏡音リン・レン_(镜音双子)__随呼吸一起逐渐微弱的爱慕之意_最终迎来了消亡的结局
- 月亮之伤简谱(歌词)_妞妞演唱_桃李醉春风记谱
- 梦乡简谱(歌词)_孟小童演唱_桃李醉春风记谱
- 愿简谱(歌词)_魏新雨演唱_桃李醉春风记谱
- 霸王泪简谱(歌词)_章小军演唱_桃李醉春风记谱
- 小棋童简谱_双笙_一首很妙的古风歌曲
- next_to_you简谱_动画寄生兽的插曲、背景音乐
- 仙剑问情简谱(歌词)_萧人凤演唱__仙剑奇侠传_插曲
- 路边的野花不要采简谱(歌词)_邓丽君演唱_岭南印象曲谱
- 我爱你中国简谱(歌词)_叶佩英演唱_岭南印象曲谱
- 再回首简谱(歌词)_李玲玉演唱_岭南印象曲谱
- 我的中国心简谱(歌词)_奚秀兰演唱_岭南印象曲谱
- 婚誓简谱(歌词)_耿莲凤/张振富演唱_岭南印象曲谱
- 付轻欢简谱(歌词)_玉笛仙踪演唱_桃李醉春风记谱
- 俗情歌简谱(歌词)_冷漠杨小曼演唱_桃李醉春风记谱
- 梦太晚简谱(歌词)_董贞演唱_动漫剧_秦时明月之空山鸟语_片尾曲
- 穷孩子富孩子简谱(歌词)_米粒谢桐演唱_桃李醉春风记谱
- 唱红尘简谱(歌词)_东方健婉君演唱_桃李醉春风记谱
- 传世乐章简谱(歌词)_汪苏泷演唱_桃李醉春风记谱
- 锦年简谱(歌词)_宇晗家家演唱_桃李醉春风记谱
- 承欢殿简谱(歌词)_少司命演唱_桃李醉春风记谱
- 隐身守候简谱(歌词)_孙子涵演唱_桃李醉春风记谱
- 热门话题
- 简谱215046
- C调25402
- 弹唱19742
- G调17715
- 钢琴谱14842
- 记谱13809
- 编配13037
- 吉他谱7808
- 周杰伦4179
- 六线谱2810
- D调2396
- 指法2080
- 的人1850
- 独奏1848
- A调1764
- 原版1681
- the1615
- 林俊杰1600
- 我是1515
- 陈奕迅1510
- E调1420
- 弹唱谱1358
- F调1303
- 薛之谦1212
- 吉他1186
- 赵雷1134
- 五月天1117
- You1035
- 曲水941
- 乌兰926
- 演唱925
- 毛不易923
- 许嵩916
- 李荣浩911
- 影视906
- 邓丽君824
- 未知755
- 线谱754
- 许巍752
- 我在732
- Beyond729
- 金曲711
- 主题曲708
- 邓紫棋693
- 张学友631
- Me629
- Love625
- OF607
- 选曲603
- 李健580
- 汪峰553
- 梁静茹539
- 东方Project537
- 指弹536
- 王菲533
- 王力宏530
- 都是520
- 久石让518
- 花粥504
- I503
- 孙燕姿503
- 隔壁老樊494
- 陈粒480
- My479
- 我想475
- 房东的猫460
- 周深456
- 让我450
- 张杰449
- 初音未来445
- 莫文蔚419
- 一声418
- 汪苏泷417
- B调416
- 标准版412
- 林宥嘉407
- 宋冬野397
- 朴树395
- A391
- 我要390
- 简单版380
- 蔡健雅380
- to378
- 齐秦374
- in372
- 游戏368
- 插曲365
- 陈瑞362
- 南风361
- 故乡360
- 华晨宇359
- 总谱358
- 刘德华356
- 石进355
- 银燕353
- 粤语350
- 伍佰347
- 琴谱345
- 阎维文341
- 陕北338
- 巴赫338
- 儿歌337
- 杨宗纬334
- 张碧晨331
- 刘若英327
- 组合326
- 冷漠326
- 田馥甄324
- 张震岳323
- 罗大佑315
- 流行追梦人313
- 理查德312
- 望月311
- 月亮311
- 调和310
- 这一309
- 中国306
- 词曲305
- 陶喆305
