首页 > 简谱 / 简谱正文 (啊,我的妻子简谱_清风演唱_动态歌谱视频曲谱)
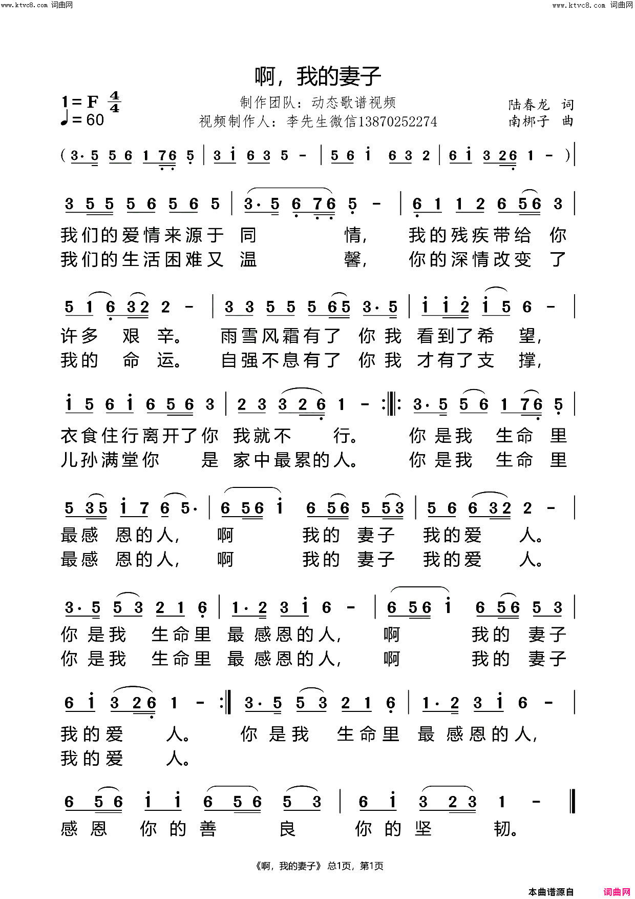
啊,我的妻子简谱_清风演唱_动态歌谱视频曲谱
- 上一篇:好风景简谱_方石曲谱
- 下一篇:弥天(动画_不良人_插曲)简谱_兰语神韵曲谱
猜你喜欢的简谱
- 牧羊曲简谱_电影_少林寺_插曲)(歌谱+伴奏主旋律谱
- 我用生命守护你简谱_雷佳演唱_动态歌谱视频曲谱
- 绿色丰碑简谱_崔丽演唱_动态歌谱视频曲谱
- 水兵哥哥简谱_怡香演唱_动态歌谱视频曲谱
- 一起向未来简谱_动态歌谱视频曲谱
- 万疆简谱_李玉刚演唱_动态歌谱视频曲谱
- 酒易醉心易碎简谱_晓依演唱_动态歌谱视频曲谱
- 日月之恋简谱_廖昌永演唱_动态歌谱视频曲谱
- 知青小屋简谱_兵歌一曲演唱_动态歌谱视频曲谱
- 我的祖国简谱_邱诗涵演唱_动态歌谱视频曲谱
- 大爱无疆简谱_动态歌谱视频曲谱
- 青玉案·元夕简谱_曲丹演唱_动态歌谱视频曲谱
- 风誓(歌谱)简谱_刘珂矣演唱_熊瑞林曲谱
- 神州大地充满生机简谱_张路得演唱_动态歌谱视频曲谱
- 白衣天使简谱_赵新演唱_动态歌谱视频曲谱
- 梅花引简谱_廖昌永演唱_动态歌谱视频曲谱
- 可可托海的牧羊人简谱_王琪演唱_动态歌谱视频曲谱
- 爱情的神话对唱歌谱简谱_宋键演唱_曹本军、绿竹清风/
- 江南幽梦简谱_刘洁演唱_动态歌谱视频曲谱
- 郑板桥来自老百姓简谱_王晓凤演唱_动态歌谱视频曲谱
- 搜索更多简谱
-
- 保卫黄河合唱歌谱简谱
- 心然迴梦游仙仙剑四背景音乐歌谱简谱
- 蒙古人合唱歌谱简谱_腾格尔演唱
- 江河水歌谱简谱
- 久别村落简谱_石明珠原创歌谱演唱
- 阳光雨露歌谱简谱_央金兰泽演唱
- BangBang英文歌谱Bang_Bang英文歌谱简谱
- _千秋岁。江南春_歌谱简谱_姚慧_卜瑞演唱_黄淑云/孟宪东词曲
- 牧羊曲电影_少林寺_插曲歌谱+伴奏主旋律谱简谱
- 耕耘江为华曲唱_俞瀛洲编曲_鲁金整理歌谱简谱_江为华演唱_李大江/江为华词曲
- 耕耘梦琪唱_江为华曲_鲁金整理歌谱简谱_梦琪演唱_李大江/江为华词曲
- 如是_歌谱简谱
- 错信了承诺简谱_心妹演唱_动态歌谱视频曲谱
- 写你简谱_萧郎演唱_动态歌谱视频曲谱
- 疫情中莫放松简谱_尺子演唱_动态歌谱视频曲谱
- 回忆的阁楼简谱(歌词)_郭静演唱_桃李醉春风记谱
- 我们都被忘了歌曲____谢安琪____时间就是一段路的小偷
- 西海情歌简谱_刀郎_这是一个流传在西海的爱情故事
- 莫问简谱(歌词)_清漪演唱_桃李醉春风记谱
- 星月神话简谱__金莎___一生最美好的场景
- 一程山盟一程海誓简谱(歌词)_陈瑞王不火演唱_桃李醉春风记谱
- 相恋不如失恋简谱(歌词)_陈瑞王不火演唱_桃李醉春风记谱
- 暗香简谱_沙宝亮_所有的遇见,都是一场命中注定
- 病名は愛だった_(病名为爱)简谱_鏡音リン・レン_(镜音双子)__随呼吸一起逐渐微弱的爱慕之意_最终迎来了消亡的结局
- 月亮之伤简谱(歌词)_妞妞演唱_桃李醉春风记谱
- 梦乡简谱(歌词)_孟小童演唱_桃李醉春风记谱
- 愿简谱(歌词)_魏新雨演唱_桃李醉春风记谱
- 霸王泪简谱(歌词)_章小军演唱_桃李醉春风记谱
- 小棋童简谱_双笙_一首很妙的古风歌曲
- next_to_you简谱_动画寄生兽的插曲、背景音乐
- 仙剑问情简谱(歌词)_萧人凤演唱__仙剑奇侠传_插曲
- 路边的野花不要采简谱(歌词)_邓丽君演唱_岭南印象曲谱
- 我爱你中国简谱(歌词)_叶佩英演唱_岭南印象曲谱
- 再回首简谱(歌词)_李玲玉演唱_岭南印象曲谱
- 我的中国心简谱(歌词)_奚秀兰演唱_岭南印象曲谱
- 婚誓简谱(歌词)_耿莲凤/张振富演唱_岭南印象曲谱
- 付轻欢简谱(歌词)_玉笛仙踪演唱_桃李醉春风记谱
- 俗情歌简谱(歌词)_冷漠杨小曼演唱_桃李醉春风记谱
- 梦太晚简谱(歌词)_董贞演唱_动漫剧_秦时明月之空山鸟语_片尾曲
- 穷孩子富孩子简谱(歌词)_米粒谢桐演唱_桃李醉春风记谱
- 唱红尘简谱(歌词)_东方健婉君演唱_桃李醉春风记谱
- 传世乐章简谱(歌词)_汪苏泷演唱_桃李醉春风记谱
- 锦年简谱(歌词)_宇晗家家演唱_桃李醉春风记谱
- 承欢殿简谱(歌词)_少司命演唱_桃李醉春风记谱
- 隐身守候简谱(歌词)_孙子涵演唱_桃李醉春风记谱
- 热门话题
- 简谱215046
- C调25402
- 弹唱19742
- G调17715
- 钢琴谱14842
- 记谱13809
- 编配13037
- 吉他谱7808
- 周杰伦4179
- 六线谱2810
- D调2396
- 指法2080
- 的人1850
- 独奏1848
- A调1764
- 原版1681
- the1615
- 林俊杰1600
- 我是1515
- 陈奕迅1510
- E调1420
- 弹唱谱1358
- F调1303
- 薛之谦1212
- 吉他1186
- 赵雷1134
- 五月天1117
- You1035
- 曲水941
- 乌兰926
- 演唱925
- 毛不易923
- 许嵩916
- 李荣浩911
- 影视906
- 邓丽君824
- 未知755
- 线谱754
- 许巍752
- 我在732
- Beyond729
- 金曲711
- 主题曲708
- 邓紫棋693
- 张学友631
- Me629
- Love625
- OF607
- 选曲603
- 李健580
- 汪峰553
- 梁静茹539
- 东方Project537
- 指弹536
- 王菲533
- 王力宏530
- 都是520
- 久石让518
- 花粥504
- I503
- 孙燕姿503
- 隔壁老樊494
- 陈粒480
- My479
- 我想475
- 房东的猫460
- 周深456
- 让我450
- 张杰449
- 初音未来445
- 莫文蔚419
- 一声418
- 汪苏泷417
- B调416
- 标准版412
- 林宥嘉407
- 宋冬野397
- 朴树395
- A391
- 我要390
- 简单版380
- 蔡健雅380
- to378
- 齐秦374
- in372
- 游戏368
- 插曲365
- 陈瑞362
- 南风361
- 故乡360
- 华晨宇359
- 总谱358
- 刘德华356
- 石进355
- 银燕353
- 粤语350
- 伍佰347
- 琴谱345
- 阎维文341
- 陕北338
- 巴赫338
- 儿歌337
- 杨宗纬334
- 张碧晨331
- 刘若英327
- 组合326
- 冷漠326
- 田馥甄324
- 张震岳323
- 罗大佑315
- 流行追梦人313
- 理查德312
- 望月311
- 月亮311
- 调和310
- 这一309
- 中国306
- 词曲305
- 陶喆305
