首页 > 简谱 / 简谱正文 (山海简谱_草东没有派对演唱_孙世彦制谱)
山海简谱_草东没有派对演唱_孙世彦制谱

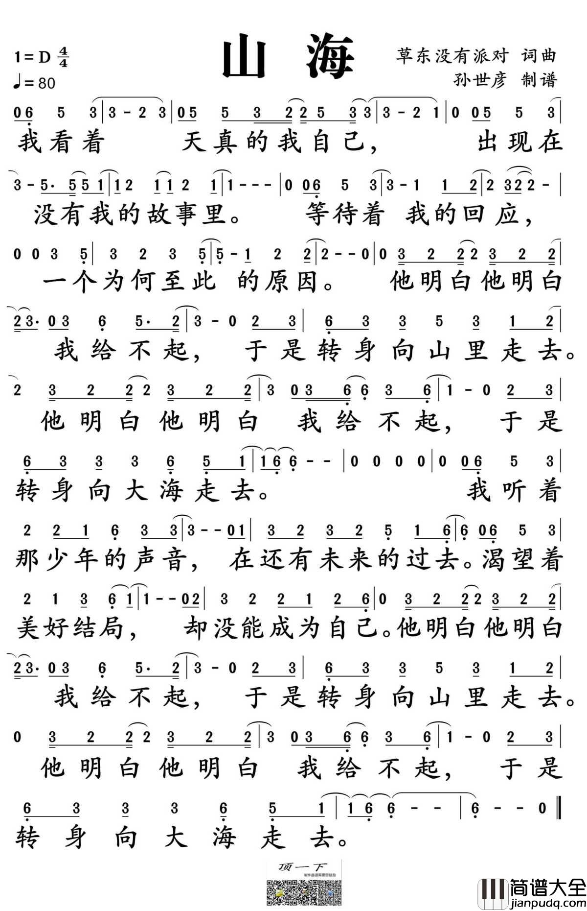
山海简谱歌词
山海-草东没有派对
词:草东没有派对
曲:草东没有派对
我看着天真的我自己
出现在没有我的故事里
等待着我的回应
一个为何至此的原因
他明白他明白我给不起
于是转身向山里走去
他明白他明白我给不起
于是转身向大海走去
我听着那少年的声音
在还有未来的过去
渴望着美好结局
却没能成为自己
他明白他明白我给不起
于是转身向山里走去
他明白他明白我给不起
于是转身向大海走去
- 上一篇:丑八怪简谱_薛之谦演唱_孙世彦制谱
- 下一篇:成都简谱_赵雷演唱_孙世彦制谱
猜你喜欢的简谱
- 山海尤克里里谱_草东没有派对_于是我奔向了大海,奔向了
- 山海吉他谱_草东没有派对_不羁的背后是对现实,对命运的
- 山海吉他谱简单版_草东没有派对TXT原版谱
- 山海吉他谱_C调六线谱_草东没有派对/隔壁老樊_高清版
- 山海简谱_草东没有派对演唱_孙世彦制谱
- 山海钢琴谱_华晨宇
- 山海钢琴谱_华晨宇_被震撼到了太惊艳
- 山海钢琴谱_华晨宇_归来仍是少年
- 山海钢琴谱_灼夭
- 山海不可平钢琴谱_CMJ
- 山海吉他谱_草东没有派对__山海_原调D调六线谱_无限延
- _山海_吉他谱_D调_草东没有派对/华晨宇_吉他伴奏弹唱
- 山海吉他谱_D调_草东没有派对
- 山海吉他谱_C调_草东没有派对
- 山海吉他谱_万豹/草东没有派对_C调弹唱谱__山海_六线
- 山海吉他谱_万豹__山海_C调弹唱六线谱
- 山海吉他谱_草东没有派对/华晨宇_山海_六线谱
- _山海_吉他谱_草东没有派对_D调_弹唱谱
- 山海吉他谱_草东没有派对/华晨宇_山海_六线谱
- 山海简谱_灼夭演唱_杏花弦外雨曲谱
- 搜索更多简谱
-
- 回忆的阁楼简谱(歌词)_郭静演唱_桃李醉春风记谱
- 我们都被忘了歌曲____谢安琪____时间就是一段路的小偷
- 西海情歌简谱_刀郎_这是一个流传在西海的爱情故事
- 莫问简谱(歌词)_清漪演唱_桃李醉春风记谱
- 星月神话简谱__金莎___一生最美好的场景
- 一程山盟一程海誓简谱(歌词)_陈瑞王不火演唱_桃李醉春风记谱
- 相恋不如失恋简谱(歌词)_陈瑞王不火演唱_桃李醉春风记谱
- 暗香简谱_沙宝亮_所有的遇见,都是一场命中注定
- 病名は愛だった_(病名为爱)简谱_鏡音リン・レン_(镜音双子)__随呼吸一起逐渐微弱的爱慕之意_最终迎来了消亡的结局
- 月亮之伤简谱(歌词)_妞妞演唱_桃李醉春风记谱
- 梦乡简谱(歌词)_孟小童演唱_桃李醉春风记谱
- 愿简谱(歌词)_魏新雨演唱_桃李醉春风记谱
- 霸王泪简谱(歌词)_章小军演唱_桃李醉春风记谱
- 小棋童简谱_双笙_一首很妙的古风歌曲
- next_to_you简谱_动画寄生兽的插曲、背景音乐
- 仙剑问情简谱(歌词)_萧人凤演唱__仙剑奇侠传_插曲
- 路边的野花不要采简谱(歌词)_邓丽君演唱_岭南印象曲谱
- 我爱你中国简谱(歌词)_叶佩英演唱_岭南印象曲谱
- 再回首简谱(歌词)_李玲玉演唱_岭南印象曲谱
- 我的中国心简谱(歌词)_奚秀兰演唱_岭南印象曲谱
- 婚誓简谱(歌词)_耿莲凤/张振富演唱_岭南印象曲谱
- 付轻欢简谱(歌词)_玉笛仙踪演唱_桃李醉春风记谱
- 俗情歌简谱(歌词)_冷漠杨小曼演唱_桃李醉春风记谱
- 梦太晚简谱(歌词)_董贞演唱_动漫剧_秦时明月之空山鸟语_片尾曲
- 穷孩子富孩子简谱(歌词)_米粒谢桐演唱_桃李醉春风记谱
- 唱红尘简谱(歌词)_东方健婉君演唱_桃李醉春风记谱
- 传世乐章简谱(歌词)_汪苏泷演唱_桃李醉春风记谱
- 锦年简谱(歌词)_宇晗家家演唱_桃李醉春风记谱
- 承欢殿简谱(歌词)_少司命演唱_桃李醉春风记谱
- 隐身守候简谱(歌词)_孙子涵演唱_桃李醉春风记谱
- 热门话题
- 简谱215046
- C调25402
- 弹唱19742
- G调17715
- 钢琴谱14842
- 记谱13809
- 编配13037
- 吉他谱7808
- 周杰伦4179
- 六线谱2810
- D调2396
- 指法2080
- 的人1850
- 独奏1848
- A调1764
- 原版1681
- the1615
- 林俊杰1600
- 我是1515
- 陈奕迅1510
- E调1420
- 弹唱谱1358
- F调1303
- 薛之谦1212
- 吉他1186
- 赵雷1134
- 五月天1117
- You1035
- 曲水941
- 乌兰926
- 演唱925
- 毛不易923
- 许嵩916
- 李荣浩911
- 影视906
- 邓丽君824
- 未知755
- 线谱754
- 许巍752
- 我在732
- Beyond729
- 金曲711
- 主题曲708
- 邓紫棋693
- 张学友631
- Me629
- Love625
- OF607
- 选曲603
- 李健580
- 汪峰553
- 梁静茹539
- 东方Project537
- 指弹536
- 王菲533
- 王力宏530
- 都是520
- 久石让518
- 花粥504
- I503
- 孙燕姿503
- 隔壁老樊494
- 陈粒480
- My479
- 我想475
- 房东的猫460
- 周深456
- 让我450
- 张杰449
- 初音未来445
- 莫文蔚419
- 一声418
- 汪苏泷417
- B调416
- 标准版412
- 林宥嘉407
- 宋冬野397
- 朴树395
- A391
- 我要390
- 简单版380
- 蔡健雅380
- to378
- 齐秦374
- in372
- 游戏368
- 插曲365
- 陈瑞362
- 南风361
- 故乡360
- 华晨宇359
- 总谱358
- 刘德华356
- 石进355
- 银燕353
- 粤语350
- 伍佰347
- 琴谱345
- 阎维文341
- 陕北338
- 巴赫338
- 儿歌337
- 杨宗纬334
- 张碧晨331
- 刘若英327
- 组合326
- 冷漠326
- 田馥甄324
- 张震岳323
- 罗大佑315
- 流行追梦人313
- 理查德312
- 望月311
- 月亮311
- 调和310
- 这一309
- 中国306
- 词曲305
- 陶喆305
