首页 > 简谱 / 简谱正文 (前前前世简谱_动画_你的名字_主题曲_孙世彦曲谱)
前前前世简谱_动画_你的名字_主题曲_孙世彦曲谱


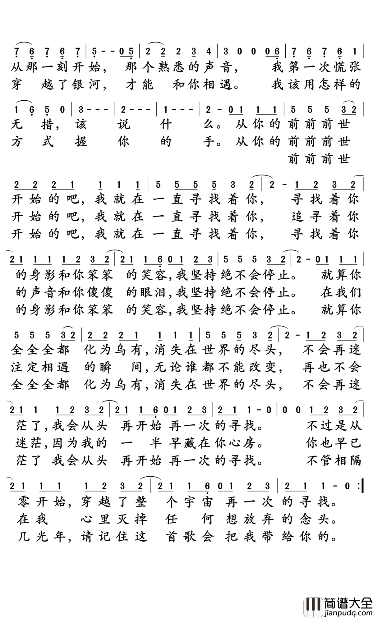
前前前世简谱歌词
やっと眼めを覚さましたかい
总算睡醒了吗?
それなのになぜ眼めも合あわせやしないんだい?
可你为什么不肯对上我的视线呢?
「遅おそいよ」と怒おこる君きみ
你生气地说“好慢啊”
これでもやれるだけ飛とばしてきたんだよ
可是我已经以最快的速度飞奔到你的身边
心こころが身体からだを追おい越こしてきたんだよ
心甚至比身体先一步抵达了这里
君きみの髪かみや瞳ひとみだけで胸むねが痛いたいよ
只是望着你的发丝和眼眸我就会心痛
同おなじ時ときを吸すいこんで離はなしたくないよ
想和你呼吸在当下再也不想和你分开
遥はるか昔むかしから知しるその声こえに
很久很久以前就熟稔于心的声音
生うまれてはじめて何なにを言いえばいい?
有生以来第一次烦恼着该如何回应?
君きみの前前ぜんぜん前世ぜんせから僕ぼくは
从你的前前前世开始
君きみを探さがしはじめたよ
我就一直在寻找你的踪迹
そのぶきっちょな笑わらい方かたをめがけてやってきたんだよ
循着你那笨拙的笑容 总算找到了这个地方
君きみが全然ぜんぜん全部ぜんぶなくなって
就算你的一切化为乌有
チリヂリになったって
支离破碎散落世界各处
もう迷まよわないまた1いちから探さがしはじめるさ
我也会毫不犹豫地从头开始再一次寻找
むしろ0ぜろからまた宇宙うちゅうをはじめてみようか
不如说就这样从零开始再创造一个全新的宇宙
どっから話はなすかな
该从哪儿说起呢
君きみが眠ねむっていた間あいだのストーリー
在你沉睡这段期间的故事
何億なんおく何か光年分こうねんぶんの物語ものがたりを語かたりにきたんだよ
我来这里对你讲述几亿光年的故事
けどいざその姿すがたこの眼めに映うつすと
但是当你的身影映入我的眼帘
君きみも知しらぬ君きみとジャレて戯たわむれたいよ
我却想和你也不曾知晓的自己说笑玩闹
君きみの消きえぬ痛いたみまで愛あいしてみたいよ
包括长久纠缠你的苦痛我也想一并地爱惜包容
銀河ぎんが何個分なんこぶんかの果はてに出で逢あえた
数不清是第几次穿越银河才终于在尽头和你邂逅
その手てを壊こわさずにどう握にぎったならいい?
我该如何小心翼翼紧握住你的手才好?
君きみの前前ぜんぜん前世ぜんせから僕ぼくは
从你的前前前世开始
君きみを探さがしはじめたよ
我就一直在寻找你的踪迹
その騒さわがしい声こえと涙なみだをめがけやってきたんだよ
循着那喧嚣的声音和你的眼泪总算找到了这个地方
そんな革命かくめい前夜ぜんやの僕ぼくらを誰だれが止とめるというんだろう
处于革命前夜的我们你说还有谁能阻止呢
もう迷まよわない君きみのハートに旗はたを立たてるよ
我会毫不犹豫地在你的心中竖起我的旗帜
君きみは僕ぼくから諦あきらめ方かたを奪うばい取とったの
我放弃的念头早就被你夺走了
前前まえまえ前世ぜんせから僕ぼくは
从你的前前前世开始
君きみを探さがしはじめたよ
我就一直在寻找你的踪迹
そのぶきっちょな笑わらい方かたをめがけてやってきたんだよ
循着你那 笨拙的笑容总算找到了这个地方
君きみが全然ぜんぜん全部ぜんぶなくなって
就算你的一切化为乌有
チリヂリになったって
支离破碎散落世界各处
もう迷まよわないまた1いちから探さがしはじめるさ
我也会毫不犹豫地从头开始再一次寻找
何なん光年こうねんでもこの歌うたを口くちずさみながら
不管相隔多少光年我都会继续哼唱起这首歌
- 上一篇:小雨中简谱_赵雷演唱_孙世彦曲谱
- 下一篇:绝情丹简谱_张津涤演唱_桃李醉春风曲谱
猜你喜欢的简谱
- 前前前世钢琴谱_RADWIMPS_(ラッドウィンプス)_在这么
- 前前前世吉他谱_新海诚电影你的名字主题曲
- 前前前世简谱_RADWIMPS_(ラッドウィンプス)_只要记住
- 前前前世简谱(歌词)_RADWIMPS演唱_门酱胡安曲谱
- 前前前世钢琴谱_RADWIMPS
- 前前前世钢琴谱_你的名字
- 前前前世钢琴谱_你的名字
- 前前前世钢琴谱_moive.ver._你的名字
- 前前前世钢琴谱_RADWIMPS
- 前前前世钢琴谱_RADWIMPS_难度版__你的名字_主题曲
- 前前前世钢琴谱_RADWIMPS_电影_你的名字_的主题曲
- 前前前世钢琴简谱_RADWIMPS演唱
- RADWIMPS_前前前世_吉他谱
- 前前前世指弹谱_动画电影_你的名字_主题曲_吉他独奏谱
- 前前前世指弹谱_电影_你的名字_主题曲_吉他指弹视频
- 前前前世吉他谱_G调和弦谱_吉他吧编配_你的名字
- 前前前世指弹谱_G调简单版__你的名字_主题曲_吉他教学
- 前前前世吉他谱_G调和弦谱_吉他吧编配_你的名字
- 戴荃_悟空_钢琴简谱
- 林啟得_大田後生仔_钢琴简谱
- 搜索更多简谱
-
- 回忆的阁楼简谱(歌词)_郭静演唱_桃李醉春风记谱
- 我们都被忘了歌曲____谢安琪____时间就是一段路的小偷
- 西海情歌简谱_刀郎_这是一个流传在西海的爱情故事
- 莫问简谱(歌词)_清漪演唱_桃李醉春风记谱
- 星月神话简谱__金莎___一生最美好的场景
- 一程山盟一程海誓简谱(歌词)_陈瑞王不火演唱_桃李醉春风记谱
- 相恋不如失恋简谱(歌词)_陈瑞王不火演唱_桃李醉春风记谱
- 暗香简谱_沙宝亮_所有的遇见,都是一场命中注定
- 病名は愛だった_(病名为爱)简谱_鏡音リン・レン_(镜音双子)__随呼吸一起逐渐微弱的爱慕之意_最终迎来了消亡的结局
- 月亮之伤简谱(歌词)_妞妞演唱_桃李醉春风记谱
- 梦乡简谱(歌词)_孟小童演唱_桃李醉春风记谱
- 愿简谱(歌词)_魏新雨演唱_桃李醉春风记谱
- 霸王泪简谱(歌词)_章小军演唱_桃李醉春风记谱
- 小棋童简谱_双笙_一首很妙的古风歌曲
- next_to_you简谱_动画寄生兽的插曲、背景音乐
- 仙剑问情简谱(歌词)_萧人凤演唱__仙剑奇侠传_插曲
- 路边的野花不要采简谱(歌词)_邓丽君演唱_岭南印象曲谱
- 我爱你中国简谱(歌词)_叶佩英演唱_岭南印象曲谱
- 再回首简谱(歌词)_李玲玉演唱_岭南印象曲谱
- 我的中国心简谱(歌词)_奚秀兰演唱_岭南印象曲谱
- 婚誓简谱(歌词)_耿莲凤/张振富演唱_岭南印象曲谱
- 付轻欢简谱(歌词)_玉笛仙踪演唱_桃李醉春风记谱
- 俗情歌简谱(歌词)_冷漠杨小曼演唱_桃李醉春风记谱
- 梦太晚简谱(歌词)_董贞演唱_动漫剧_秦时明月之空山鸟语_片尾曲
- 穷孩子富孩子简谱(歌词)_米粒谢桐演唱_桃李醉春风记谱
- 唱红尘简谱(歌词)_东方健婉君演唱_桃李醉春风记谱
- 传世乐章简谱(歌词)_汪苏泷演唱_桃李醉春风记谱
- 锦年简谱(歌词)_宇晗家家演唱_桃李醉春风记谱
- 承欢殿简谱(歌词)_少司命演唱_桃李醉春风记谱
- 隐身守候简谱(歌词)_孙子涵演唱_桃李醉春风记谱
- 热门话题
- 简谱215046
- C调25402
- 弹唱19742
- G调17715
- 钢琴谱14842
- 记谱13809
- 编配13037
- 吉他谱7808
- 周杰伦4179
- 六线谱2810
- D调2396
- 指法2080
- 的人1850
- 独奏1848
- A调1764
- 原版1681
- the1615
- 林俊杰1600
- 我是1515
- 陈奕迅1510
- E调1420
- 弹唱谱1358
- F调1303
- 薛之谦1212
- 吉他1186
- 赵雷1134
- 五月天1117
- You1035
- 曲水941
- 乌兰926
- 演唱925
- 毛不易923
- 许嵩916
- 李荣浩911
- 影视906
- 邓丽君824
- 未知755
- 线谱754
- 许巍752
- 我在732
- Beyond729
- 金曲711
- 主题曲708
- 邓紫棋693
- 张学友631
- Me629
- Love625
- OF607
- 选曲603
- 李健580
- 汪峰553
- 梁静茹539
- 东方Project537
- 指弹536
- 王菲533
- 王力宏530
- 都是520
- 久石让518
- 花粥504
- I503
- 孙燕姿503
- 隔壁老樊494
- 陈粒480
- My479
- 我想475
- 房东的猫460
- 周深456
- 让我450
- 张杰449
- 初音未来445
- 莫文蔚419
- 一声418
- 汪苏泷417
- B调416
- 标准版412
- 林宥嘉407
- 宋冬野397
- 朴树395
- A391
- 我要390
- 简单版380
- 蔡健雅380
- to378
- 齐秦374
- in372
- 游戏368
- 插曲365
- 陈瑞362
- 南风361
- 故乡360
- 华晨宇359
- 总谱358
- 刘德华356
- 石进355
- 银燕353
- 粤语350
- 伍佰347
- 琴谱345
- 阎维文341
- 陕北338
- 巴赫338
- 儿歌337
- 杨宗纬334
- 张碧晨331
- 刘若英327
- 组合326
- 冷漠326
- 田馥甄324
- 张震岳323
- 罗大佑315
- 流行追梦人313
- 理查德312
- 望月311
- 月亮311
- 调和310
- 这一309
- 中国306
- 词曲305
- 陶喆305
