首页 > 简谱 / 简谱正文 (至此流年各天涯简谱_我不李志演唱_孙世彦曲谱)
至此流年各天涯简谱_我不李志演唱_孙世彦曲谱

至此流年各天涯简谱歌词
词曲:李志
演唱:我不李志
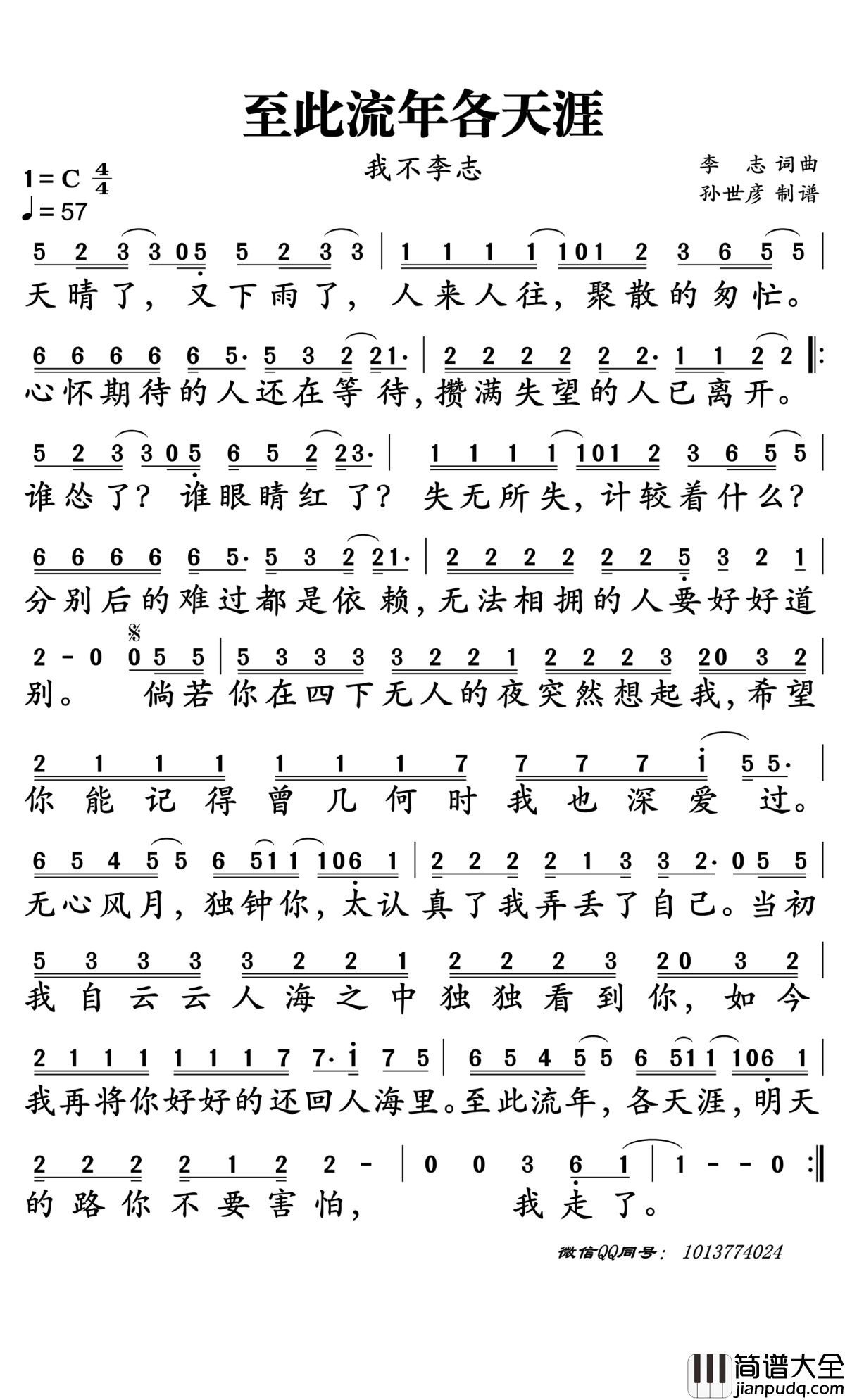
天晴了,又下雨了,
人来人往,聚散的匆忙。
心怀期待的人还在等待,
攒满失望的人已离开。
谁怂了?谁眼睛红了?
失无所失,计较着什么?
分别后的难过都是依赖,
无法相拥的人要好好道别。
倘若你在四下无人的夜突然想起我,
希望你能记得曾几何时我也深爱过。
无心风月,独钟你,
太认真了我弄丢了自己。
当初我自云云人海之中独独看到你,
如今我再将你好好的还回人海里。
至此流年,各天涯,
明天的路你不要害怕,
我走了。
谁怂了 谁眼睛红了
失无所失计较着什么
分别后的难过都是依赖
无法相拥的人要好好道别
倘若你在四下无人的夜突然想起我
希望你能记得曾几何时我也深爱过
无心风月 独钟你
太认真了我弄丢了自己
当初我自云云人海之中独独看到你
如今我再将你好好的还回人海里
至此流年 各天涯
明天的路你不要害怕
倘若你在四下无人的夜突然想起我
希望你能记得曾几何时我也深爱过
无心风月 独钟你
太认真了我弄丢了自己
当初我自云云人海之中独独看到你
如今我再将你好好的还回人海里
至此流年 各天涯
明天的路你不要害怕
我走了
猜你喜欢的简谱
- 至此流年各天涯吉他谱_不是李志_G调弹唱谱
- 至此流年各天涯吉他谱_我不李志_G调弹唱谱_六线谱
- 至此流年各天涯吉他谱_我不李志_无心风月_独钟你__太
- 至此流年各天涯吉他谱_我不李志_G调原版
- 舞娘钢琴谱_蔡依林_白雪夏夜我不停歇
- 我不指望她成为音乐家,为什么还要花钱让她去学琴?
- 偏爱尤克里里谱_张芸京_我不闪躲我非要这么做
- 我不难过吉他谱_C调指法_孙燕姿_图片谱高清版
- 欧巴我不傻吉他谱_夕西_我们都已经过了耳听爱情的年纪
- 陌生人吉他谱_蔡健雅_我不难过了,甚至真心希望你能幸福
- 说一句我不走了吉他谱简单版_KingStarTXT原版谱
- 我不是他吉他谱简单版_四个朋友TXT原版谱
- 姑娘怎舍得让你悲伤吉他谱_我不李志_C调弹唱谱
- 我不想说简谱(歌词)_杨钰莹演唱_电视连续剧_外来妹_主
- 想太多吉他谱_李玖哲_电视剧原来我不帅插曲
- 我不想说再见简谱(歌词)_陈琳演唱_岭南印象曲谱
- 小芳吉他谱_李春波_今生今世我不忘怀
- 我不归去简谱(歌词)_谭嘉仪演唱_电视剧_射雕英雄传_片
- 你的过去我不介意简谱_唐古_放不下过去,如何有未来
- 祝你幸福简谱_李荣浩_我不挽留,以后的路我自己走。
- 搜索更多简谱
-
- 回忆的阁楼简谱(歌词)_郭静演唱_桃李醉春风记谱
- 我们都被忘了歌曲____谢安琪____时间就是一段路的小偷
- 西海情歌简谱_刀郎_这是一个流传在西海的爱情故事
- 莫问简谱(歌词)_清漪演唱_桃李醉春风记谱
- 星月神话简谱__金莎___一生最美好的场景
- 一程山盟一程海誓简谱(歌词)_陈瑞王不火演唱_桃李醉春风记谱
- 相恋不如失恋简谱(歌词)_陈瑞王不火演唱_桃李醉春风记谱
- 暗香简谱_沙宝亮_所有的遇见,都是一场命中注定
- 病名は愛だった_(病名为爱)简谱_鏡音リン・レン_(镜音双子)__随呼吸一起逐渐微弱的爱慕之意_最终迎来了消亡的结局
- 月亮之伤简谱(歌词)_妞妞演唱_桃李醉春风记谱
- 梦乡简谱(歌词)_孟小童演唱_桃李醉春风记谱
- 愿简谱(歌词)_魏新雨演唱_桃李醉春风记谱
- 霸王泪简谱(歌词)_章小军演唱_桃李醉春风记谱
- 小棋童简谱_双笙_一首很妙的古风歌曲
- next_to_you简谱_动画寄生兽的插曲、背景音乐
- 仙剑问情简谱(歌词)_萧人凤演唱__仙剑奇侠传_插曲
- 路边的野花不要采简谱(歌词)_邓丽君演唱_岭南印象曲谱
- 我爱你中国简谱(歌词)_叶佩英演唱_岭南印象曲谱
- 再回首简谱(歌词)_李玲玉演唱_岭南印象曲谱
- 我的中国心简谱(歌词)_奚秀兰演唱_岭南印象曲谱
- 婚誓简谱(歌词)_耿莲凤/张振富演唱_岭南印象曲谱
- 付轻欢简谱(歌词)_玉笛仙踪演唱_桃李醉春风记谱
- 俗情歌简谱(歌词)_冷漠杨小曼演唱_桃李醉春风记谱
- 梦太晚简谱(歌词)_董贞演唱_动漫剧_秦时明月之空山鸟语_片尾曲
- 穷孩子富孩子简谱(歌词)_米粒谢桐演唱_桃李醉春风记谱
- 唱红尘简谱(歌词)_东方健婉君演唱_桃李醉春风记谱
- 传世乐章简谱(歌词)_汪苏泷演唱_桃李醉春风记谱
- 锦年简谱(歌词)_宇晗家家演唱_桃李醉春风记谱
- 承欢殿简谱(歌词)_少司命演唱_桃李醉春风记谱
- 隐身守候简谱(歌词)_孙子涵演唱_桃李醉春风记谱
- 热门话题
- 简谱215046
- C调25402
- 弹唱19742
- G调17715
- 钢琴谱14842
- 记谱13809
- 编配13037
- 吉他谱7808
- 周杰伦4179
- 六线谱2810
- D调2396
- 指法2080
- 的人1850
- 独奏1848
- A调1764
- 原版1681
- the1615
- 林俊杰1600
- 我是1515
- 陈奕迅1510
- E调1420
- 弹唱谱1358
- F调1303
- 薛之谦1212
- 吉他1186
- 赵雷1134
- 五月天1117
- You1035
- 曲水941
- 乌兰926
- 演唱925
- 毛不易923
- 许嵩916
- 李荣浩911
- 影视906
- 邓丽君824
- 未知755
- 线谱754
- 许巍752
- 我在732
- Beyond729
- 金曲711
- 主题曲708
- 邓紫棋693
- 张学友631
- Me629
- Love625
- OF607
- 选曲603
- 李健580
- 汪峰553
- 梁静茹539
- 东方Project537
- 指弹536
- 王菲533
- 王力宏530
- 都是520
- 久石让518
- 花粥504
- I503
- 孙燕姿503
- 隔壁老樊494
- 陈粒480
- My479
- 我想475
- 房东的猫460
- 周深456
- 让我450
- 张杰449
- 初音未来445
- 莫文蔚419
- 一声418
- 汪苏泷417
- B调416
- 标准版412
- 林宥嘉407
- 宋冬野397
- 朴树395
- A391
- 我要390
- 简单版380
- 蔡健雅380
- to378
- 齐秦374
- in372
- 游戏368
- 插曲365
- 陈瑞362
- 南风361
- 故乡360
- 华晨宇359
- 总谱358
- 刘德华356
- 石进355
- 银燕353
- 粤语350
- 伍佰347
- 琴谱345
- 阎维文341
- 陕北338
- 巴赫338
- 儿歌337
- 杨宗纬334
- 张碧晨331
- 刘若英327
- 组合326
- 冷漠326
- 田馥甄324
- 张震岳323
- 罗大佑315
- 流行追梦人313
- 理查德312
- 望月311
- 月亮311
- 调和310
- 这一309
- 中国306
- 词曲305
- 陶喆305
