首页 > 简谱 / 简谱正文 (错的是你_伤的是我简谱_郭一橙演唱_心烛001曲谱)
错的是你_伤的是我简谱_郭一橙演唱_心烛001曲谱


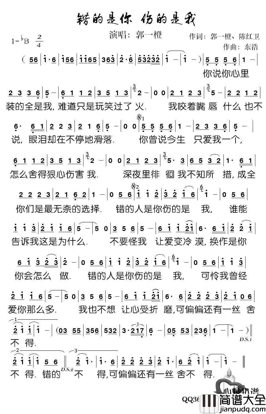
错的是你 伤的是我简谱歌词
词:郭一橙/陈红卫
曲:东浩
编曲:张艺
混音:苏州
出品公司:河南中鑫百灵文化传播有限公司
出品人:蔡建灵
你说你心里装的全是我
难道只是玩笑过了火
我咬着嘴唇什么也不说
眼泪却在不停地滑落
你曾说今生只爱我一个
怎么舍得狠心伤害我
深夜里徘徊我不知所措
成全你们是最无奈的选择
错的人是你伤的是我
谁能告诉我这是为什么
不要怪我让爱变冷漠
换作是你你会怎么做
错的人是你伤的是我
可怜我曾经爱你那么多
我也不想让心受折磨
可偏偏还有一丝舍不得
你曾说今生只爱我一个
怎么舍得狠心伤害我
深夜里徘徊我不知所措
成全你们是最无奈的选择
错的人是你伤的是我
谁能告诉我这是为什么
不要怪我让爱变冷漠
换作是你你会怎么做
错的人是你伤的是我
可怜我曾经爱你那么多
我也不想让心受折磨
可偏偏还有一丝舍不得
错的人是你伤的是我
谁能告诉我这是为什么
不要怪我让爱变冷漠
换作是你你会怎么做
错的人是你伤的是我
可怜我曾经爱你那么多
我也不想让心受折磨
可偏偏还有一丝舍不得
可偏偏还有一丝舍不得
猜你喜欢的简谱
- 逆时光的浪钢琴谱_毕书尽_也许我在等待的是一种永远无
- 做我老婆好不好钢琴谱_徐誉滕_幸运的是我能分担你的愁
- 蝶恋钢琴谱_刘亦菲_你忆起的是仙剑
- 离歌钢琴谱_信乐团_无力的看清强悍的是命运
- 原来钢琴谱_林俊杰_原来最孤单的是我还是那么想你
- 路过我耳朵的忧伤钢琴谱_苏运莹_最美的是念念不忘
- love_scenario尤克里里谱_iKON_结局不重要,重要的是我
- 盗将行尤克里里谱_花粥/马雨阳_这世上最想盗的是你的
- 为你写诗尤克里里谱_吴克群_我忘了说_最美的是你的名
- 就当你没来过吉他谱_大哲_她离开,就像一阵风,带走的是满
- 瞎子吉他谱_尧十三_听似很怪诞的吟唱,但满满溢出的是浓
- 以后的以后吉他谱_庄心妍_清澈的是年华,逝去的是光阴
- 白天不懂夜的黑吉他谱_那英_你要知道,生命孤独,你最应该
- 一只狗吉他谱_花粥_当你爱上他的时候__你爱的是人还是
- 一直很安静吉他谱_阿桑_以为自己要的是曾经却发现爱一
- 如果你给的是爱简谱(歌词)_鸿飞演唱_桃李醉春风记谱
- 爱无反顾简谱(歌词)_姚贝娜演唱_电影_我爱的是你爱
- 董小姐简谱_宋冬野_让我再听一遍董小姐,不管唱歌的是不
- We_Had_Today简谱__Rachel_Portman__明天发生什么无所
- 还魂门简谱__胡彦斌盗不到的是永远,解不开的是心门
- 搜索更多简谱
-
- 回忆的阁楼简谱(歌词)_郭静演唱_桃李醉春风记谱
- 我们都被忘了歌曲____谢安琪____时间就是一段路的小偷
- 西海情歌简谱_刀郎_这是一个流传在西海的爱情故事
- 莫问简谱(歌词)_清漪演唱_桃李醉春风记谱
- 星月神话简谱__金莎___一生最美好的场景
- 一程山盟一程海誓简谱(歌词)_陈瑞王不火演唱_桃李醉春风记谱
- 相恋不如失恋简谱(歌词)_陈瑞王不火演唱_桃李醉春风记谱
- 暗香简谱_沙宝亮_所有的遇见,都是一场命中注定
- 病名は愛だった_(病名为爱)简谱_鏡音リン・レン_(镜音双子)__随呼吸一起逐渐微弱的爱慕之意_最终迎来了消亡的结局
- 月亮之伤简谱(歌词)_妞妞演唱_桃李醉春风记谱
- 梦乡简谱(歌词)_孟小童演唱_桃李醉春风记谱
- 愿简谱(歌词)_魏新雨演唱_桃李醉春风记谱
- 霸王泪简谱(歌词)_章小军演唱_桃李醉春风记谱
- 小棋童简谱_双笙_一首很妙的古风歌曲
- next_to_you简谱_动画寄生兽的插曲、背景音乐
- 仙剑问情简谱(歌词)_萧人凤演唱__仙剑奇侠传_插曲
- 路边的野花不要采简谱(歌词)_邓丽君演唱_岭南印象曲谱
- 我爱你中国简谱(歌词)_叶佩英演唱_岭南印象曲谱
- 再回首简谱(歌词)_李玲玉演唱_岭南印象曲谱
- 我的中国心简谱(歌词)_奚秀兰演唱_岭南印象曲谱
- 婚誓简谱(歌词)_耿莲凤/张振富演唱_岭南印象曲谱
- 付轻欢简谱(歌词)_玉笛仙踪演唱_桃李醉春风记谱
- 俗情歌简谱(歌词)_冷漠杨小曼演唱_桃李醉春风记谱
- 梦太晚简谱(歌词)_董贞演唱_动漫剧_秦时明月之空山鸟语_片尾曲
- 穷孩子富孩子简谱(歌词)_米粒谢桐演唱_桃李醉春风记谱
- 唱红尘简谱(歌词)_东方健婉君演唱_桃李醉春风记谱
- 传世乐章简谱(歌词)_汪苏泷演唱_桃李醉春风记谱
- 锦年简谱(歌词)_宇晗家家演唱_桃李醉春风记谱
- 承欢殿简谱(歌词)_少司命演唱_桃李醉春风记谱
- 隐身守候简谱(歌词)_孙子涵演唱_桃李醉春风记谱
- 热门话题
- 简谱215046
- C调25402
- 弹唱19742
- G调17715
- 钢琴谱14842
- 记谱13809
- 编配13037
- 吉他谱7808
- 周杰伦4179
- 六线谱2810
- D调2396
- 指法2080
- 的人1850
- 独奏1848
- A调1764
- 原版1681
- the1615
- 林俊杰1600
- 我是1515
- 陈奕迅1510
- E调1420
- 弹唱谱1358
- F调1303
- 薛之谦1212
- 吉他1186
- 赵雷1134
- 五月天1117
- You1035
- 曲水941
- 乌兰926
- 演唱925
- 毛不易923
- 许嵩916
- 李荣浩911
- 影视906
- 邓丽君824
- 未知755
- 线谱754
- 许巍752
- 我在732
- Beyond729
- 金曲711
- 主题曲708
- 邓紫棋693
- 张学友631
- Me629
- Love625
- OF607
- 选曲603
- 李健580
- 汪峰553
- 梁静茹539
- 东方Project537
- 指弹536
- 王菲533
- 王力宏530
- 都是520
- 久石让518
- 花粥504
- I503
- 孙燕姿503
- 隔壁老樊494
- 陈粒480
- My479
- 我想475
- 房东的猫460
- 周深456
- 让我450
- 张杰449
- 初音未来445
- 莫文蔚419
- 一声418
- 汪苏泷417
- B调416
- 标准版412
- 林宥嘉407
- 宋冬野397
- 朴树395
- A391
- 我要390
- 简单版380
- 蔡健雅380
- to378
- 齐秦374
- in372
- 游戏368
- 插曲365
- 陈瑞362
- 南风361
- 故乡360
- 华晨宇359
- 总谱358
- 刘德华356
- 石进355
- 银燕353
- 粤语350
- 伍佰347
- 琴谱345
- 阎维文341
- 陕北338
- 巴赫338
- 儿歌337
- 杨宗纬334
- 张碧晨331
- 刘若英327
- 组合326
- 冷漠326
- 田馥甄324
- 张震岳323
- 罗大佑315
- 流行追梦人313
- 理查德312
- 望月311
- 月亮311
- 调和310
- 这一309
- 中国306
- 词曲305
- 陶喆305
