首页 > 简谱 / 简谱正文 (不再打扰简谱_郭力演唱_心烛001曲谱)
不再打扰简谱_郭力演唱_心烛001曲谱


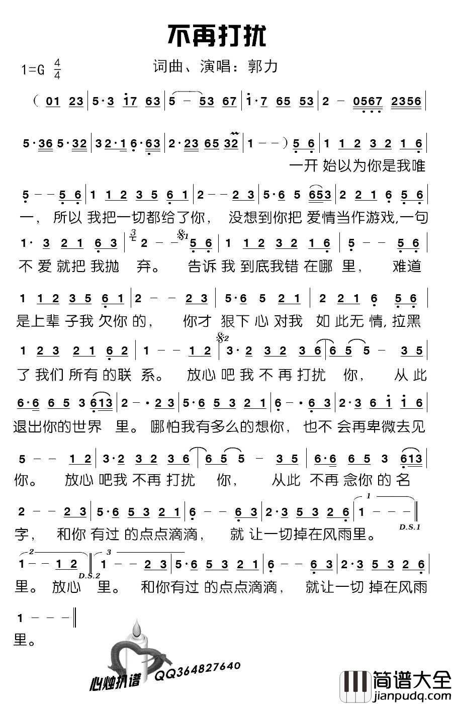
不再打扰简谱歌词
词:郭力
曲:郭力
编曲:李德奎
混音:刘城涵
一开始以为你是我唯一
所以我把一切都给了你
没想到你把爱情当作游戏
一句不爱就把我抛弃
告诉我到底我错在哪里
难道是上辈子我欠你的
你才狠下心对我如此无情
拉黑了我们所有的联系
放心吧我不再打扰你
从此退出你的世界里
哪怕我有多么的想你
也不会再卑微去见你
放心吧我不再打扰你
从此不再念你的名字
和你有过的点点滴滴
就让一切丢在风雨里
告诉我到底我错在哪里
难道是上辈子我欠你的
你才狠下心对我如此无情
拉黑了我们所有的联系
放心吧我不再打扰你
从此退出你的世界里
哪怕我有多么的想你
也不会再卑微去见你
放心吧我不再打扰你
从此不再念你的名字
和你有过的点点滴滴
就让一切丢在风雨里
放心吧我不再打扰你
从此退出你的世界里
哪怕我有多么的想你
也不会再卑微去见你
放心吧我不再打扰你
从此不再念你的名字
和你有过的点点滴滴
就让一切丢在风雨里
和你有过的点点滴滴
就让一切丢在风雨里
猜你喜欢的简谱
- 戴荃_悟空_钢琴简谱
- 林啟得_大田後生仔_钢琴简谱
- 假如爱有天意简谱(歌词)_王珺演唱_岭南印象曲谱
- 一花依世界简谱_洛天依_人生就是如此短暂
- 你好毒简谱_张学友_最狠心不过你
- 爱降落简谱_中国娃娃_勇敢追努力爱
- 怎样简谱_戴佩妮_如果我们现在还在一起会是怎样
- 离别的车站简谱_赵薇_谁都不要说再见
- 三十出头简谱_大哲_生活虽然不美好,但仍然值得去守护
- 下定决心忘记你简谱_暴林_不要忘记我爱你
- 戒烟简谱_李荣浩_你是我戒不掉的烟
- 你是我今生最美的情缘简谱_魏新雨_遇见你,是我最美丽的
- 难念的经简谱_周华健_参不透也读不懂
- 喜剧之王简谱_李荣浩_我的断肠与夸张
- 安眠药简谱_张禄籴_在沉睡中忘记你
- 告别校园时简谱_李克勤_昔日往事,我们皆已回不去
- 一曲相思简谱_半阳_何惧爱恨离别
- 再度重相逢简谱(歌词)_孙露演唱_岭南印象曲谱
- 别问我爱你不爱简谱(歌词)_李玲玉演唱_岭南印象曲谱
- 舍离断简谱_苏诗丁_舍得释然,恩怨两难断
- 搜索更多简谱
-
- 回忆的阁楼简谱(歌词)_郭静演唱_桃李醉春风记谱
- 我们都被忘了歌曲____谢安琪____时间就是一段路的小偷
- 西海情歌简谱_刀郎_这是一个流传在西海的爱情故事
- 莫问简谱(歌词)_清漪演唱_桃李醉春风记谱
- 星月神话简谱__金莎___一生最美好的场景
- 一程山盟一程海誓简谱(歌词)_陈瑞王不火演唱_桃李醉春风记谱
- 相恋不如失恋简谱(歌词)_陈瑞王不火演唱_桃李醉春风记谱
- 暗香简谱_沙宝亮_所有的遇见,都是一场命中注定
- 病名は愛だった_(病名为爱)简谱_鏡音リン・レン_(镜音双子)__随呼吸一起逐渐微弱的爱慕之意_最终迎来了消亡的结局
- 月亮之伤简谱(歌词)_妞妞演唱_桃李醉春风记谱
- 梦乡简谱(歌词)_孟小童演唱_桃李醉春风记谱
- 愿简谱(歌词)_魏新雨演唱_桃李醉春风记谱
- 霸王泪简谱(歌词)_章小军演唱_桃李醉春风记谱
- 小棋童简谱_双笙_一首很妙的古风歌曲
- next_to_you简谱_动画寄生兽的插曲、背景音乐
- 仙剑问情简谱(歌词)_萧人凤演唱__仙剑奇侠传_插曲
- 路边的野花不要采简谱(歌词)_邓丽君演唱_岭南印象曲谱
- 我爱你中国简谱(歌词)_叶佩英演唱_岭南印象曲谱
- 再回首简谱(歌词)_李玲玉演唱_岭南印象曲谱
- 我的中国心简谱(歌词)_奚秀兰演唱_岭南印象曲谱
- 婚誓简谱(歌词)_耿莲凤/张振富演唱_岭南印象曲谱
- 付轻欢简谱(歌词)_玉笛仙踪演唱_桃李醉春风记谱
- 俗情歌简谱(歌词)_冷漠杨小曼演唱_桃李醉春风记谱
- 梦太晚简谱(歌词)_董贞演唱_动漫剧_秦时明月之空山鸟语_片尾曲
- 穷孩子富孩子简谱(歌词)_米粒谢桐演唱_桃李醉春风记谱
- 唱红尘简谱(歌词)_东方健婉君演唱_桃李醉春风记谱
- 传世乐章简谱(歌词)_汪苏泷演唱_桃李醉春风记谱
- 锦年简谱(歌词)_宇晗家家演唱_桃李醉春风记谱
- 承欢殿简谱(歌词)_少司命演唱_桃李醉春风记谱
- 隐身守候简谱(歌词)_孙子涵演唱_桃李醉春风记谱
- 热门话题
- 简谱215046
- C调25402
- 弹唱19742
- G调17715
- 钢琴谱14842
- 记谱13809
- 编配13037
- 吉他谱7808
- 周杰伦4179
- 六线谱2810
- D调2396
- 指法2080
- 的人1850
- 独奏1848
- A调1764
- 原版1681
- the1615
- 林俊杰1600
- 我是1515
- 陈奕迅1510
- E调1420
- 弹唱谱1358
- F调1303
- 薛之谦1212
- 吉他1186
- 赵雷1134
- 五月天1117
- You1035
- 曲水941
- 乌兰926
- 演唱925
- 毛不易923
- 许嵩916
- 李荣浩911
- 影视906
- 邓丽君824
- 未知755
- 线谱754
- 许巍752
- 我在732
- Beyond729
- 金曲711
- 主题曲708
- 邓紫棋693
- 张学友631
- Me629
- Love625
- OF607
- 选曲603
- 李健580
- 汪峰553
- 梁静茹539
- 东方Project537
- 指弹536
- 王菲533
- 王力宏530
- 都是520
- 久石让518
- 花粥504
- I503
- 孙燕姿503
- 隔壁老樊494
- 陈粒480
- My479
- 我想475
- 房东的猫460
- 周深456
- 让我450
- 张杰449
- 初音未来445
- 莫文蔚419
- 一声418
- 汪苏泷417
- B调416
- 标准版412
- 林宥嘉407
- 宋冬野397
- 朴树395
- A391
- 我要390
- 简单版380
- 蔡健雅380
- to378
- 齐秦374
- in372
- 游戏368
- 插曲365
- 陈瑞362
- 南风361
- 故乡360
- 华晨宇359
- 总谱358
- 刘德华356
- 石进355
- 银燕353
- 粤语350
- 伍佰347
- 琴谱345
- 阎维文341
- 陕北338
- 巴赫338
- 儿歌337
- 杨宗纬334
- 张碧晨331
- 刘若英327
- 组合326
- 冷漠326
- 田馥甄324
- 张震岳323
- 罗大佑315
- 流行追梦人313
- 理查德312
- 望月311
- 月亮311
- 调和310
- 这一309
- 中国306
- 词曲305
- 陶喆305
