首页 > 简谱 / 简谱正文 (桥边姑娘简谱_海伦演唱_心烛001曲谱)
桥边姑娘简谱_海伦演唱_心烛001曲谱


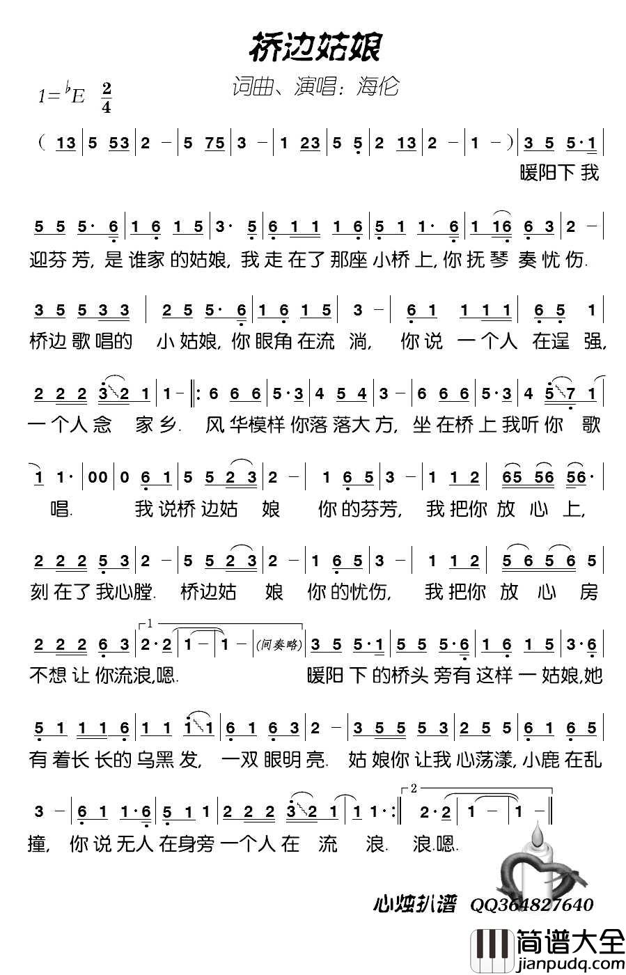
桥边姑娘简谱歌词
词:海伦
曲:海伦
编曲:漠心藤
视觉:华玮轩
暖阳下我迎芬芳是谁家的姑娘
我走在了那座小桥上
你抚琴奏忧伤
桥边歌唱的小姑娘你眼角在流淌
你说一个人在逞强一个人念家乡
风华模样你落落大方
坐在桥上我听你歌唱
我说桥边姑娘你的芬芳
我把你放心上刻在了我心膛
桥边姑娘你的忧伤
我把你放心房不想让你流浪
暖阳下的桥头旁有这样一姑娘
她有着长长的乌黑发一双眼明亮
姑娘你让我心荡漾小鹿在乱撞
你说无人在身旁一个人在流浪
风华模样你落落大方
坐在桥上我听你歌唱
我说桥边姑娘你的芬芳
我把你放心上刻在了我心膛
桥边姑娘你的忧伤
我把你放心房不想让你流浪
猜你喜欢的简谱
- Embers_钢琴谱_海伦·简·琅
- 我的家乡,美丽新娘简谱_海伦词/李志明曲
- 思母谣简谱_海伦词_李志明曲冰清雪儿_
- 神话罗浮简谱(歌词)_黄海伦演唱_桃李醉春风记谱
- 把崇山峻岭踩在脚下简谱_海伦、潘桂贤词/潘桂贤曲
- 请为我送行简谱_斯诺与海伦的咏叹调
- 游山恋钢琴简谱_数字双手_海伦
- 游山恋简谱_海伦歌曲_曲水悠悠曲谱
- 她很孤独钢琴简谱_数字双手_海伦
- 她很孤独简谱_海伦演唱歌曲_独行侠曲谱
- 桥边姑娘钢琴简谱_数字双手_海伦
- 桥边姑娘简谱_海伦演唱_孙世彦曲谱
- 桥边姑娘简谱_海伦演唱_独行侠曲谱
- 画离弦钢琴谱_海伦
- 桥边姑娘钢琴谱_海伦
- 她很孤独钢琴谱_海伦
- 游山恋钢琴谱_海伦
- 游山恋钢琴谱_海伦_我醉提酒游寒山霜华满天_我欲迎风
- 她很孤独钢琴谱_海伦_海伦朗朗上口的歌词唱入心扉
- 桥边姑娘钢琴谱_海伦_降E调
- 搜索更多简谱
-
- 回忆的阁楼简谱(歌词)_郭静演唱_桃李醉春风记谱
- 我们都被忘了歌曲____谢安琪____时间就是一段路的小偷
- 西海情歌简谱_刀郎_这是一个流传在西海的爱情故事
- 莫问简谱(歌词)_清漪演唱_桃李醉春风记谱
- 星月神话简谱__金莎___一生最美好的场景
- 一程山盟一程海誓简谱(歌词)_陈瑞王不火演唱_桃李醉春风记谱
- 相恋不如失恋简谱(歌词)_陈瑞王不火演唱_桃李醉春风记谱
- 暗香简谱_沙宝亮_所有的遇见,都是一场命中注定
- 病名は愛だった_(病名为爱)简谱_鏡音リン・レン_(镜音双子)__随呼吸一起逐渐微弱的爱慕之意_最终迎来了消亡的结局
- 月亮之伤简谱(歌词)_妞妞演唱_桃李醉春风记谱
- 梦乡简谱(歌词)_孟小童演唱_桃李醉春风记谱
- 愿简谱(歌词)_魏新雨演唱_桃李醉春风记谱
- 霸王泪简谱(歌词)_章小军演唱_桃李醉春风记谱
- 小棋童简谱_双笙_一首很妙的古风歌曲
- next_to_you简谱_动画寄生兽的插曲、背景音乐
- 仙剑问情简谱(歌词)_萧人凤演唱__仙剑奇侠传_插曲
- 路边的野花不要采简谱(歌词)_邓丽君演唱_岭南印象曲谱
- 我爱你中国简谱(歌词)_叶佩英演唱_岭南印象曲谱
- 再回首简谱(歌词)_李玲玉演唱_岭南印象曲谱
- 我的中国心简谱(歌词)_奚秀兰演唱_岭南印象曲谱
- 婚誓简谱(歌词)_耿莲凤/张振富演唱_岭南印象曲谱
- 付轻欢简谱(歌词)_玉笛仙踪演唱_桃李醉春风记谱
- 俗情歌简谱(歌词)_冷漠杨小曼演唱_桃李醉春风记谱
- 梦太晚简谱(歌词)_董贞演唱_动漫剧_秦时明月之空山鸟语_片尾曲
- 穷孩子富孩子简谱(歌词)_米粒谢桐演唱_桃李醉春风记谱
- 唱红尘简谱(歌词)_东方健婉君演唱_桃李醉春风记谱
- 传世乐章简谱(歌词)_汪苏泷演唱_桃李醉春风记谱
- 锦年简谱(歌词)_宇晗家家演唱_桃李醉春风记谱
- 承欢殿简谱(歌词)_少司命演唱_桃李醉春风记谱
- 隐身守候简谱(歌词)_孙子涵演唱_桃李醉春风记谱
- 热门话题
- 简谱215046
- C调25402
- 弹唱19742
- G调17715
- 钢琴谱14842
- 记谱13809
- 编配13037
- 吉他谱7808
- 周杰伦4179
- 六线谱2810
- D调2396
- 指法2080
- 的人1850
- 独奏1848
- A调1764
- 原版1681
- the1615
- 林俊杰1600
- 我是1515
- 陈奕迅1510
- E调1420
- 弹唱谱1358
- F调1303
- 薛之谦1212
- 吉他1186
- 赵雷1134
- 五月天1117
- You1035
- 曲水941
- 乌兰926
- 演唱925
- 毛不易923
- 许嵩916
- 李荣浩911
- 影视906
- 邓丽君824
- 未知755
- 线谱754
- 许巍752
- 我在732
- Beyond729
- 金曲711
- 主题曲708
- 邓紫棋693
- 张学友631
- Me629
- Love625
- OF607
- 选曲603
- 李健580
- 汪峰553
- 梁静茹539
- 东方Project537
- 指弹536
- 王菲533
- 王力宏530
- 都是520
- 久石让518
- 花粥504
- I503
- 孙燕姿503
- 隔壁老樊494
- 陈粒480
- My479
- 我想475
- 房东的猫460
- 周深456
- 让我450
- 张杰449
- 初音未来445
- 莫文蔚419
- 一声418
- 汪苏泷417
- B调416
- 标准版412
- 林宥嘉407
- 宋冬野397
- 朴树395
- A391
- 我要390
- 简单版380
- 蔡健雅380
- to378
- 齐秦374
- in372
- 游戏368
- 插曲365
- 陈瑞362
- 南风361
- 故乡360
- 华晨宇359
- 总谱358
- 刘德华356
- 石进355
- 银燕353
- 粤语350
- 伍佰347
- 琴谱345
- 阎维文341
- 陕北338
- 巴赫338
- 儿歌337
- 杨宗纬334
- 张碧晨331
- 刘若英327
- 组合326
- 冷漠326
- 田馥甄324
- 张震岳323
- 罗大佑315
- 流行追梦人313
- 理查德312
- 望月311
- 月亮311
- 调和310
- 这一309
- 中国306
- 词曲305
- 陶喆305
