首页 > 吉他谱 / 简谱正文 (80年代的歌吉他谱_G调弹唱谱_赵雷_简单吉他完美版)
80年代的歌吉他谱_G调弹唱谱_赵雷_简单吉他完美版
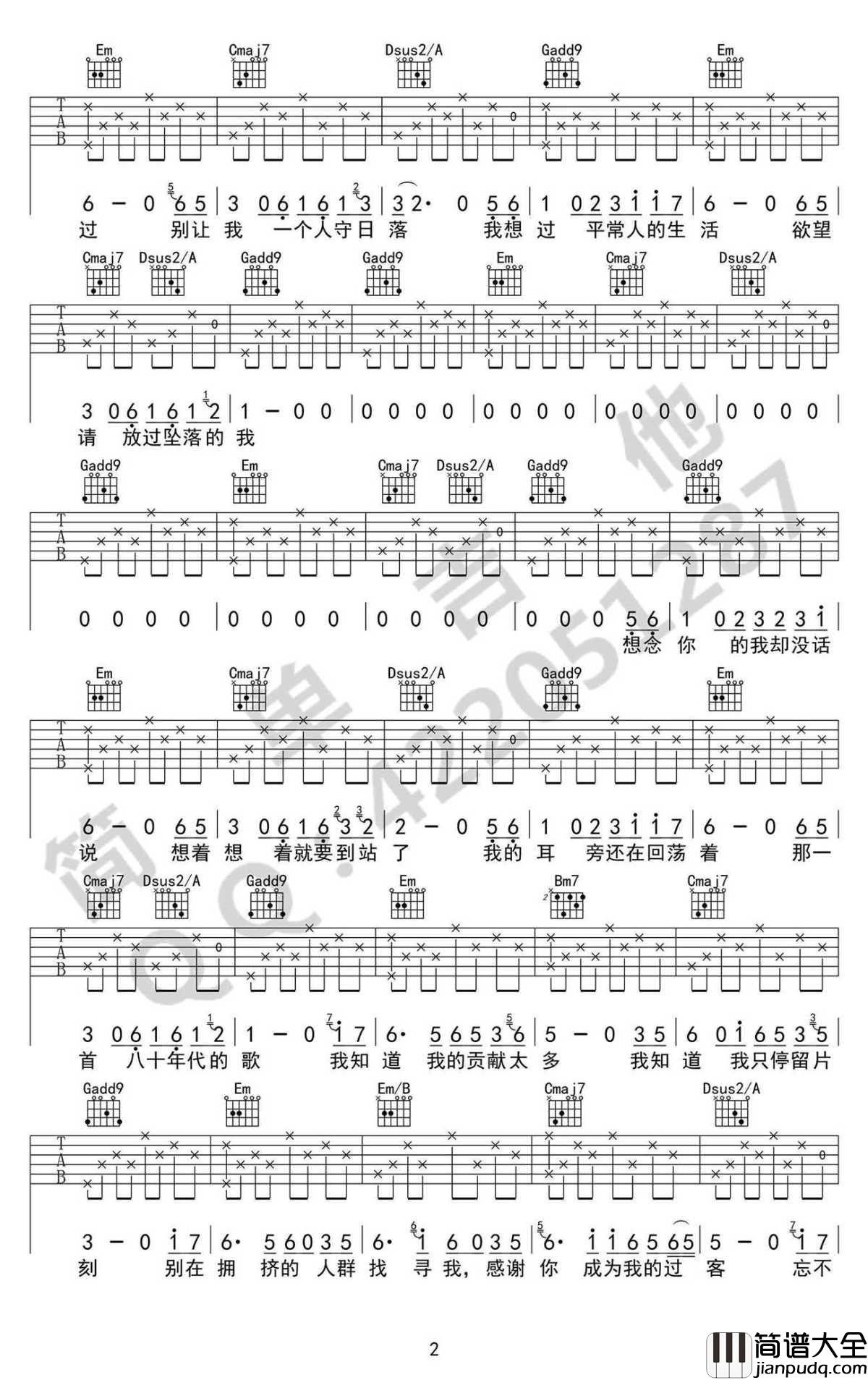
赵雷《八十年代的歌》吉他谱,G调指法,变调夹夹五品。80年代的歌吉他谱,吉他弹唱谱三张图片,六线谱高清编配格式,简单吉他编配制谱。
你推荐的歌我都听过,听过后和你一样寂寞。忘不了我担心的你,抹不去我多情的思绪,我无法拉近你我的距离,这距离就像飞鸟和鱼。赵雷的一首民谣歌曲,略带忧愁的叹息弥漫整个怀旧的时光。



香烟请在为我点一颗
火车上的情侣也不多
你推荐的歌我都听过
听过后和你一样寂寞
忘不了红色背心的你
抹不去我多情的思绪
我无法拉近你我的距离
这距离就像飞鸟和鱼
时间请你快一点的过
别让我一个人守日落
我想过平常人的生活
欲望请放过脆弱的我
想念你的我却没话说
想着想着就要到站了
我的耳旁还在回荡着
那一首八十年代的歌
我知道我的故事太多
我知道我只停留片刻
别在拥挤的人群找寻我
感谢你成为我的过客
忘不了暮色中回眸的你
躲不掉命运下过的雨
我无法追寻你的足迹
就让我在孤独中远去
有没有你还是那个我
有没有你还一样的过
你一定要像晨曦一样活
不必在意我的哀与乐
猜你喜欢的简谱
- 探清水河吉他谱_晓月老板_G调带前奏_弹唱谱
- 于是我不再唱歌吉他谱_旅行团_G调六线谱_高清版
- 梨花又开放吉他谱_G调_李延亮版本
- 小确幸吉他谱_G调指法_原版弹唱谱_小潘潘/刘心
- 像鱼吉他谱_王贰浪G调六线谱_图片谱
- 最美的期待吉他谱_周笔畅_G调简单版
- 年少有为吉他谱_G调弹唱高清版谱_李荣浩
- 一剪梅吉他谱_费玉清_弹唱+独奏指弹版
- 时光回吉他谱_侃侃_G调六线谱_高清版
- 作曲家吉他谱_李荣浩_G调弹唱谱_吉他演示视频
- 兄弟我和你吉他谱_G调和弦_卢焱
- 岩石里的花吉他谱_G调六线谱_邓紫棋
- 再回首吉他谱_姜育恒_G调六线谱
- 东西吉他谱_林俊呈_G调初级进阶版
- 红尘来去一场梦吉他谱_杨宗纬/巫启贤_G调六线谱
- 东西吉他谱_G调精华版_林俊呈
- 学猫叫吉他谱_G调精华版_小潘潘_高清图片谱
- 说书人吉他谱_G调弹唱谱_暗杠寅子_图片谱
- 回家的路吉他谱_G调六线谱_刘明辉_图片谱
- 出山吉他谱_花粥/王胜男_G调指法_高清弹唱谱
- 搜索更多简谱
-
- SayYes吉他弹唱谱Say_Yes吉他弹唱谱简谱_王铮亮演唱_陈曦/董冬冬词曲
- [意]SantaLucia桑塔·露琪亚弹唱谱[意]Santa_Lucia桑塔·露琪亚弹唱谱简谱
- [意]Osolemio啊,我的太阳弹唱谱[意]O_sole_mio啊,我的太阳弹唱谱简谱
- Angleface吉他弹唱谱Angle_face吉他弹唱谱简谱_周蕙演唱_马小月、唐玉璇/梁伟丰词曲
- 我记得钢琴简谱_赵雷演唱
- 欠父亲的话简谱_赵雷演唱_音乐伙伴制谱
- 我们的时光钢琴简谱_赵雷演唱
- 形容吉他谱_沈以诚__形容_G调扫弦版弹唱六线谱_高清图片谱
- _生活因你而火热_吉他谱_新裤子乐队_E调原版六线谱_吉他弹唱教学
- _Six_feet_under_吉他谱_Billie_Eilish_D调原版弹唱六线谱
- 还有我吉他谱_任贤齐__还有我_C调原版弹唱谱_高清六线谱
- _多年以后_吉他谱_大欢_G调简单版弹唱六线谱_高清图片谱
- _马马嘟嘟骑_吉他谱_斯斯与帆_A调简单版弹唱谱_高清六线谱
- 生长吉他谱_王俊凯__生长_C调弹唱谱_高清和弦图谱
- 遇到吉他谱_方雅贤__遇到_C调简单版弹唱谱_高清和弦图谱
- 前前前世吉他谱_新海诚电影你的名字主题曲
- Count_On_Me吉他谱简单版_Bruno_Mars(火星人布鲁诺)TXT原版谱
- 故乡的云吉他谱_费翔_当年打动了多少漂泊的人
- You_and_Me吉他谱简单版_Olivia_Ong_(王俪婷)TXT原版谱
- 迎着风吉他谱_蓝波_四平青年_电影主题曲_G调弹唱谱
- 离人吉他谱_张学友/林志炫_C调弹唱谱_高清图片谱
- 又吉他谱_G调原版_天佑_吉他弹唱谱
- Take_It_All吉他谱简单版_Adele(爱黛儿)TXT原版谱
- 丁香花吉他指弹谱_唐磊_丁香花独奏曲(图片谱)
- 需要人陪吉他谱_王力宏_西虹市首富_插曲_C调弹唱谱
- 大风吹吉他谱简单版_草东没有派对TXT原版谱
- 别烦着我吉他谱简单版_糖兄妹TXT原版谱
- 心事吉他谱_徐秉龙_C调弹唱谱_心事六线谱
- 一百万个可能指弹谱_Christine克丽丝叮_吉他独奏谱
- 起风了吉他谱_C调弹唱谱_买辣椒也用券_吉他弹唱教学
- 爱呀吉他谱_金玟岐_爱呀六线谱_女生版弹唱谱
- 成都吉他谱_C调弹唱六线谱_赵雷
- 薛之谦_演员_指弹谱_演员吉他独奏谱
- 孤独的总和吉他谱_吴汶芳_E调弹唱六线谱
- 赵雷_雪人吉他谱_雪人民谣弹唱(六线谱)
- 有梦好甜蜜吉他谱_胡彦斌_动画我为歌狂插曲
- 小时候吉他谱简单版_苏打绿TXT原版谱
- 吉姆餐厅吉他谱_C调弹唱谱_赵雷_六线谱
- _十点半的地铁_吉他谱_C调弹唱谱六线谱_吉他教学视频
- _权力的游戏_主题曲吉他谱_双吉他指弹谱_完整版六线谱
- 无敌超人吉他谱简单版_TwinsTXT原版谱
- 全世界都闭上了眼睛吉他谱简单版_OK绷乐团TXT原版谱
- 大地吉他谱简单版_BeyondTXT原版谱
- 我爱周星星吉他谱简单版_麻吉TXT原版谱
- 独立吉他谱简单版_蜜雪薇琪TXT原版谱
- 热门话题
- 简谱215046
- C调25402
- 弹唱19742
- G调17715
- 钢琴谱14842
- 记谱13809
- 编配13037
- 吉他谱7808
- 周杰伦4179
- 六线谱2810
- D调2396
- 指法2080
- 的人1850
- 独奏1848
- A调1764
- 原版1681
- the1615
- 林俊杰1600
- 我是1515
- 陈奕迅1510
- E调1420
- 弹唱谱1358
- F调1303
- 薛之谦1212
- 吉他1186
- 赵雷1134
- 五月天1117
- You1035
- 曲水941
- 乌兰926
- 演唱925
- 毛不易923
- 许嵩916
- 李荣浩911
- 影视906
- 邓丽君824
- 未知755
- 线谱754
- 许巍752
- 我在732
- Beyond729
- 金曲711
- 主题曲708
- 邓紫棋693
- 张学友631
- Me629
- Love625
- OF607
- 选曲603
- 李健580
- 汪峰553
- 梁静茹539
- 东方Project537
- 指弹536
- 王菲533
- 王力宏530
- 都是520
- 久石让518
- 花粥504
- I503
- 孙燕姿503
- 隔壁老樊494
- 陈粒480
- My479
- 我想475
- 房东的猫460
- 周深456
- 让我450
- 张杰449
- 初音未来445
- 莫文蔚419
- 一声418
- 汪苏泷417
- B调416
- 标准版412
- 林宥嘉407
- 宋冬野397
- 朴树395
- A391
- 我要390
- 简单版380
- 蔡健雅380
- to378
- 齐秦374
- in372
- 游戏368
- 插曲365
- 陈瑞362
- 南风361
- 故乡360
- 华晨宇359
- 总谱358
- 刘德华356
- 石进355
- 银燕353
- 粤语350
- 伍佰347
- 琴谱345
- 阎维文341
- 陕北338
- 巴赫338
- 儿歌337
- 杨宗纬334
- 张碧晨331
- 刘若英327
- 组合326
- 冷漠326
- 田馥甄324
- 张震岳323
- 罗大佑315
- 流行追梦人313
- 理查德312
- 望月311
- 月亮311
- 调和310
- 这一309
- 中国306
- 词曲305
- 陶喆305
