首页 > 吉他谱 / 简谱正文 (那一年吉他谱_许巍_D调原版双吉他谱)
那一年吉他谱_许巍_D调原版双吉他谱
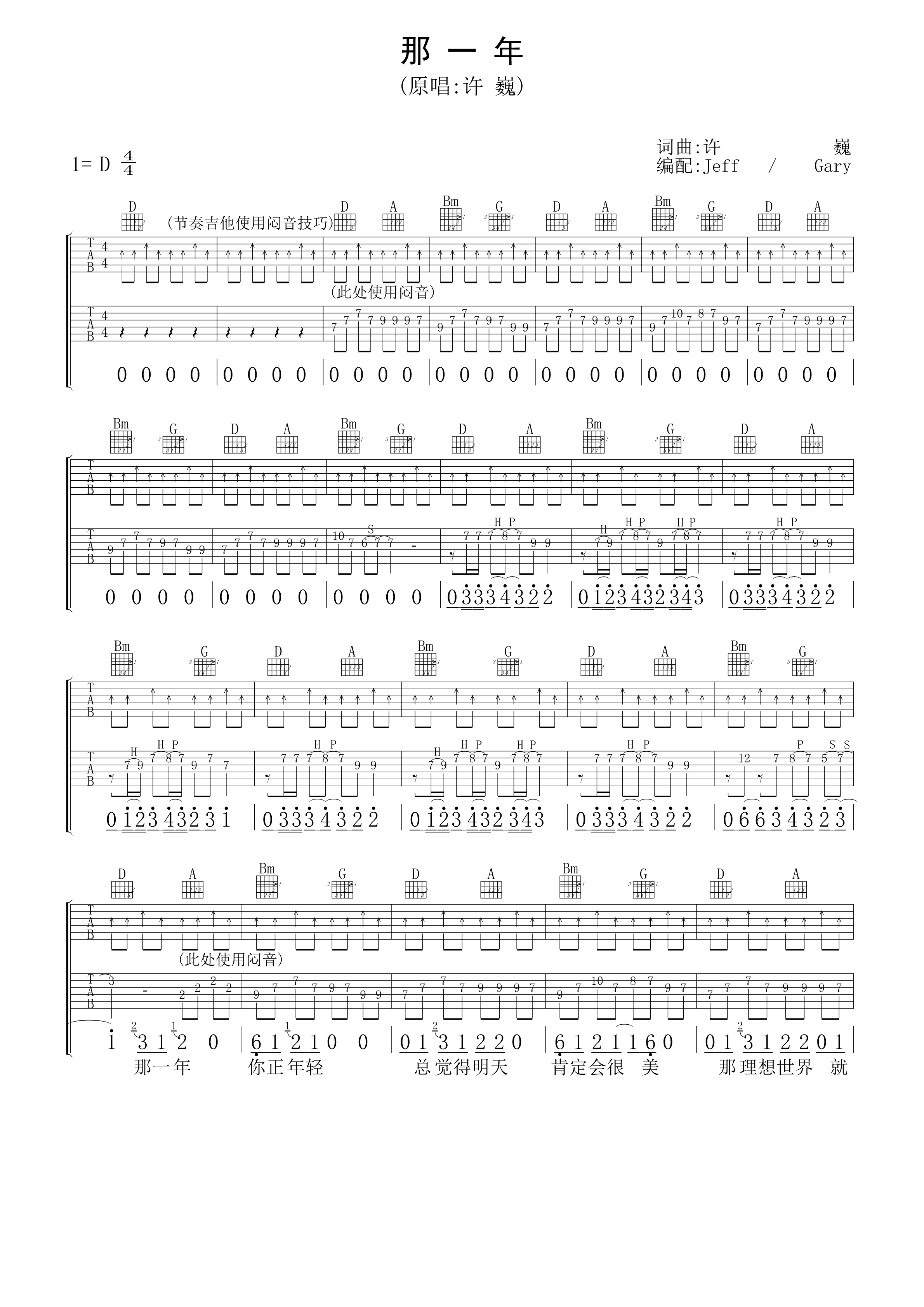
吉他谱介绍:那一年吉他谱,许巍演唱的一首歌曲,4/4拍的节奏,这首歌曲的原调为D调,这里曲谱采用了D调指法进行编配,演唱时可不夹变调夹,曲谱由曲谱网更新上传,共4张高清图片弹唱吉他谱例,来源于@Jeff编配出品。这首歌的特色在于,如果是双吉他配合演奏的话,效果会更好。此次分享的为双吉他版本的《那一年》弹唱吉他谱,采用D调指法,横按虽然较多,但是不难,需要注意的是前奏的闷音部分。

那一年吉他谱4-许巍
猜你喜欢的简谱
- 悟空吉他谱_戴荃_C调简单版_弹唱六线谱
- 我们不该这样的吉他谱_张赫宣_六线谱高清版
- 执着吉他谱_D调弹唱谱_许巍图片谱高清版
- 喜欢你吉他谱(邓紫棋版)_喜欢你吉他弹唱教学
- 再见再见吉他谱_逃跑计划乐队_原版吉他弹唱教学
- 兄弟抱一下吉他谱_D调原版图片谱_庞龙
- 董小姐吉他谱_董小姐弹唱谱_叶结尾/痞师傅翻唱版本
- 爱要怎么说出口吉他谱_赵传_吉他弹唱六线谱
- 何必怀念吉他谱_D调指法_牛奶咖啡_何必怀念_六线谱高
- 一生中最爱吉他谱_谭咏麟_经典粤语歌曲弹唱谱
- 爱如潮水吉他谱_D调指法_张信哲_爱如潮水_吉他弹唱教
- 痴情冢吉他谱__天龙八部_插曲(吉他六线谱)
- 不说再见吉他谱_好妹妹乐队_谁的青春不迷茫_主题曲
- 一个人吉他谱_铃凯_一个人_吉他谱女生版
- 单身情歌吉他谱(双吉他版编配)_林志炫_高清图片谱
- If_You吉他谱_Bigbang_if_you_原版吉他伴奏(图片谱)
- 我想大声告诉你吉他谱_双吉他弹唱示范_蒙面歌王版本
- 吉姆餐厅吉他谱_D调指法_赵雷_吉他弹唱教学讲解_六线
- 一次就好吉他谱_D调编配六线谱_杨宗纬_一次就好_六线
- 只要你过得比我好吉他谱_D调指法_钟镇涛_吉他弹唱六线
- 搜索更多简谱
-
- 那一年简谱_乌英嘎演唱_春色制谱
- 那一年还是少年简谱_秋天的枫叶演唱_古弓制谱
- 记住那一年,记住金达莱简谱_郭洪领演唱_古弓制谱
- _Six_feet_under_吉他谱_Billie_Eilish_D调原版弹唱六线谱
- 画吉他谱_赵雷__画_E调原版六线谱_画高清弹唱吉他谱
- 海来阿木_不过人间_吉他谱
- 胡66_胡66后来遇见他_吉他谱
- 井胧_丢了你_吉他谱
- 马条_塔吉汗_吉他谱_六线谱_指弹谱_D调弹唱谱
- 陈亦洺__第七年__吉他谱(G调)___Guitar_Music_Score
- 李袁杰_大天蓬_吉他谱
- 陈亦洺_第七年_吉他谱(G_调_)____Guitar_Music_Score
- 五月天_天使_吉他谱
- 陈奕迅_千千阙歌_吉他谱
- _傻瓜_吉他谱
- 前前前世吉他谱_新海诚电影你的名字主题曲
- Count_On_Me吉他谱简单版_Bruno_Mars(火星人布鲁诺)TXT原版谱
- 故乡的云吉他谱_费翔_当年打动了多少漂泊的人
- You_and_Me吉他谱简单版_Olivia_Ong_(王俪婷)TXT原版谱
- 迎着风吉他谱_蓝波_四平青年_电影主题曲_G调弹唱谱
- 离人吉他谱_张学友/林志炫_C调弹唱谱_高清图片谱
- 又吉他谱_G调原版_天佑_吉他弹唱谱
- Take_It_All吉他谱简单版_Adele(爱黛儿)TXT原版谱
- 丁香花吉他指弹谱_唐磊_丁香花独奏曲(图片谱)
- 需要人陪吉他谱_王力宏_西虹市首富_插曲_C调弹唱谱
- 大风吹吉他谱简单版_草东没有派对TXT原版谱
- 别烦着我吉他谱简单版_糖兄妹TXT原版谱
- 心事吉他谱_徐秉龙_C调弹唱谱_心事六线谱
- 一百万个可能指弹谱_Christine克丽丝叮_吉他独奏谱
- 起风了吉他谱_C调弹唱谱_买辣椒也用券_吉他弹唱教学
- 爱呀吉他谱_金玟岐_爱呀六线谱_女生版弹唱谱
- 成都吉他谱_C调弹唱六线谱_赵雷
- 薛之谦_演员_指弹谱_演员吉他独奏谱
- 孤独的总和吉他谱_吴汶芳_E调弹唱六线谱
- 赵雷_雪人吉他谱_雪人民谣弹唱(六线谱)
- 有梦好甜蜜吉他谱_胡彦斌_动画我为歌狂插曲
- 小时候吉他谱简单版_苏打绿TXT原版谱
- 吉姆餐厅吉他谱_C调弹唱谱_赵雷_六线谱
- _十点半的地铁_吉他谱_C调弹唱谱六线谱_吉他教学视频
- _权力的游戏_主题曲吉他谱_双吉他指弹谱_完整版六线谱
- 无敌超人吉他谱简单版_TwinsTXT原版谱
- 全世界都闭上了眼睛吉他谱简单版_OK绷乐团TXT原版谱
- 大地吉他谱简单版_BeyondTXT原版谱
- 我爱周星星吉他谱简单版_麻吉TXT原版谱
- 独立吉他谱简单版_蜜雪薇琪TXT原版谱
- 热门话题
- 简谱215046
- C调25402
- 弹唱19742
- G调17715
- 钢琴谱14842
- 记谱13809
- 编配13037
- 吉他谱7808
- 周杰伦4179
- 六线谱2810
- D调2396
- 指法2080
- 的人1850
- 独奏1848
- A调1764
- 原版1681
- the1615
- 林俊杰1600
- 我是1515
- 陈奕迅1510
- E调1420
- 弹唱谱1358
- F调1303
- 薛之谦1212
- 吉他1186
- 赵雷1134
- 五月天1117
- You1035
- 曲水941
- 乌兰926
- 演唱925
- 毛不易923
- 许嵩916
- 李荣浩911
- 影视906
- 邓丽君824
- 未知755
- 线谱754
- 许巍752
- 我在732
- Beyond729
- 金曲711
- 主题曲708
- 邓紫棋693
- 张学友631
- Me629
- Love625
- OF607
- 选曲603
- 李健580
- 汪峰553
- 梁静茹539
- 东方Project537
- 指弹536
- 王菲533
- 王力宏530
- 都是520
- 久石让518
- 花粥504
- I503
- 孙燕姿503
- 隔壁老樊494
- 陈粒480
- My479
- 我想475
- 房东的猫460
- 周深456
- 让我450
- 张杰449
- 初音未来445
- 莫文蔚419
- 一声418
- 汪苏泷417
- B调416
- 标准版412
- 林宥嘉407
- 宋冬野397
- 朴树395
- A391
- 我要390
- 简单版380
- 蔡健雅380
- to378
- 齐秦374
- in372
- 游戏368
- 插曲365
- 陈瑞362
- 南风361
- 故乡360
- 华晨宇359
- 总谱358
- 刘德华356
- 石进355
- 银燕353
- 粤语350
- 伍佰347
- 琴谱345
- 阎维文341
- 陕北338
- 巴赫338
- 儿歌337
- 杨宗纬334
- 张碧晨331
- 刘若英327
- 组合326
- 冷漠326
- 田馥甄324
- 张震岳323
- 罗大佑315
- 流行追梦人313
- 理查德312
- 望月311
- 月亮311
- 调和310
- 这一309
- 中国306
- 词曲305
- 陶喆305
